| < Предыдущий | Следующий > |
1 | Найдите значение выражения
|
2 | Найдите значение выражения
|
3 | Ручка стоит 21 рубль. Сколько рублей заплатит покупатель за 70 ручек, если при покупке больше 50 ручек магазин делает скидку 10 % от стоимости всей покупки?
|
4 | Зная длину своего шага, человек может приближённо подсчитать пройденное им расстояние s по формуле s = n∙l, где n — число шагов, l — длина шага. Какое расстояние прошёл человек, если l=70 см, n = 1700? Ответ дайте в метрах.
|
5 | Найдите значение выражения
|
6 | На счёте Олиного мобильного телефона было 83 рубля, а после разговора с Аней остался 41 рубль. Известно, что разговор длился целое число минут, а одна минута разговора стоит 3 рубля 50 копеек. Сколько минут длился разговор с Аней?
|
7 | Найдите корень уравнения
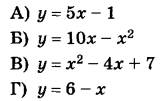
|
8 | На каком расстоянии (в метрах) от фонаря стоит человек ростом 1,8 м, если длина его тени равна 1 м, а высота фонаря — 9 м?
|
9 | Установите соответствие между величинами и их возможными значениями: к каждому элементу первого столбца подберите соответствующий элемент из второго столбца.
|
10 | Вероятность того, что на тестировании по математике учащийся А. верно решит больше четырёх задач, равна 0,73. Вероятность того, что А. верно решит больше трёх задач, равна 0,86. Найдите вероятность того, что А. верно решит ровно 4 задачи.
|
11 | На диаграмме приведены данные о средних температурах в Калининграде во все месяцы 2017 и 2018 годов. По горизонтали указаны месяцы, по вертикали — температура в градусах Цельсия.
Определите, сколько месяцев средняя температура в 2018 году была выше, чем в том же месяце 2017 года.
|
12 | В таблице даны результаты олимпиад по физике и химии в 9 «А» классе.
Похвальные грамоты дают тем школьникам, у кого суммарный балл по двум олимпиадам больше 110, а также тем, у кого хотя бы по одному предмету набрано не меньше 60 баллов. Кто из учащихся 9 «А» класса набрал меньше 60 баллов по физике и получил похвальные грамоты? Запишите в ответе номера этих учащихся без пробелов, запятых и других дополнительных символов.
|
13 | Плоскость, проходящая через точки А, В и С (см. рис.), разбивает тетраэдр на два многогранника. Сколько граней у получившегося многогранника с большим числом рёбер?
|
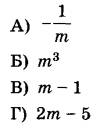
14 | Установите соответствие между функциями и характеристиками этих функций.
|
15 | В окружности с центром О отрезки АС и BD — диаметры. Вписанный угол АСВ равен 80°. Найдите угол AOD. Ответ дайте в градусах.
|
16 | В основании прямой призмы лежит прямоугольный треугольник, один из катетов которого равен 3, а гипотенуза равна 3√5. Найдите объём призмы, если её высота равна 5.
|
17 | На координатной прямой отмечено число m.
Каждому из четырёх чисел в левом столбце соответствует отрезок, которому оно принадлежит. Установите соответствие между числами и отрезками из правого столбца.
|
18 | В зоомагазине в один из аквариумов запустили 30 рыбок. Длина каждой рыбки больше 2 см, но не превышает 8 см. Выберите утверждения, которые верны при указанных условиях. 1) Семь рыбок в этом аквариуме короче 2 см. 2) В этом аквариуме нет рыбки длиной 9 см. 3) Разница в длине любых двух рыбок не больше 6 см. 4) Длина каждой рыбки больше 8 см.
|
19 | Найдите четырёхзначное число, которое в 9 раз меньше четвёртой степени некоторого натурального числа. В ответе укажите какое-нибудь одно такое число.
|
20 | Список заданий викторины состоял из 50 вопросов. За каждый правильный ответ ученик получал 9 очков, за неправильный ответ с него списывали 17 очков, а при отсутствии ответа давали 0 очков. Сколько верных ответов дал ученик, набравший 153 очка, если известно, что по крайней мере один раз он ошибся?
|
| Авторизация через | ![]() |
Сборник предназначен для самостоятельной подготовки к выпускным экзаменам. Благодаря тестовым заданиям из открытого банка заданий, вы можете проверить свои знания и определить, насколько подготовлены к соответствующим экзаменам. Также этот сборник будет полезен учителям, которые могут использовать его для контроля результатов освоения школьниками образовательных программ основного общего образования и интенсивной подготовки учащихся.
При выполнении заданий на экзаменах можно пользоваться черновиком. Записи в черновике не учитываются при оценивании работы. Баллы, полученные Вами за выполненные задания, суммируются. Постарайтесь выполнить как можно больше заданий и набрать наибольшее количество баллов.
Желаем успехов при сдаче экзаменов!
| < Предыдущий | Следующий > |