| < Предыдущий | Следующий > |
1 | Найдите значение выражения
|
2 | Найдите значение выражения
|
3 | Спортивный магазин проводит акцию: «Любой джемпер за 300 рублей». Кроме того, при покупке двух джемперов покупатель получает скидку 40 % на второй джемпер. Сколько рублей придётся заплатить за два джемпера?
|
4 | Перевести температуру из шкалы Фаренгейта в шкалу Цельсия можно по формуле
|
5 | Найдите значение выражения
|
6 | Для ремонта требуется 57 рулонов обоев. Какое наименьшее количество пачек обойного клея нужно для такого ремонта, если одна пачка клея рассчитана на пять рулонов?
|
7 | Найдите корень уравнения
|
8 | У двух садоводов одинаковые прямоугольные участки размером 25 м х 30 м с общей границей. Садоводы выкопали общий круглый пруд площадью 150 квадратных метров (см. чертёж), причём граница участков прошла точно через центр пруда. Какова площадь (в квадратных метрах) оставшейся части участка каждого садовода?
|
9 | Установите соответствие между величинами и их значениями: к каждому элементу первого столбца подберите соответствующий элемент из второго столбца.
|
10 | Найдите вероятность того, что случайно выбранное трёхзначное число делится на 49.
|
11 | На рисунке изображена зависимость температуры воздуха от высоты над уровнем моря. По горизонтали указана высота в метрах, по вертикали — значение температуры в градусах Цельсия.
Определите по графику, на сколько градусов Цельсия воздух на высоте 200 м теплее, чем на высоте 650 м.
|
12 | На соревнованиях по прыжкам в воду судьи выставили оценки трём спортсменам. Результаты приведены в таблице.
*К — коэффициент сложности. Итоговый балл вычисляется следующим образом: две наибольшие и две наименьшие оценки отбрасываются, а сумму трёх оставшихся оценок умножают на коэффициент сложности. В ответе укажите номера спортсменов, итоговый балл которых больше 170.
|
13 | Деталь имеет форму многогранника, изображённого на рисунке (все двугранные углы прямые). Длины рёбер показаны на рисунке. Найдите площадь поверхности детали.
|
14 | На рисунке точками показана среднесуточная температура воздуха в Москве в январе 2011 года. По горизонтали указываются числа месяца, по вертикали — температура в градусах Цельсия. Для наглядности точки соединены линией.
Пользуясь рисунком, поставьте в соответствие каждому из указанных периодов времени характеристику изменения температуры.
|
15 | В трапеции ABCD известно, что AD = 4, ВС = 2, а её площадь равна 69. Найдите площадь треугольника ABC.
|
16 | Радиус основания цилиндра равен 15, а образующая равна 14. Сечение, параллельное оси цилиндра, удалено от неё на расстояние, равное 12. Найдите площадь сечения.
|
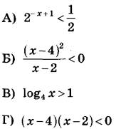
17 | Каждому из четырёх неравенств в левом столбце соответствует одно из решений в правом столбце. Установите соответствие между неравенствами и их решениями.
|
18 | Митя выше Маши, Лена ниже Маши, а Толя выше Лены. Выберите утверждения, которые верны при указанных условиях. 1) Среди указанных четырёх человек Лена ниже всех. 2) Маша и Толя одного роста. 3) Митя выше Лены. 4) Среди указанных четырёх человек есть двое одного роста.
|
19 | Четырёхзначное число делится на 22, а произведение его цифр равно 24. Найдите какое-нибудь одно такое число.
|
20 | В доме пятнадцать квартир с номерами от 1 до 15. В каждой квартире живёт один, два или три человека. В квартирах с 1-й по 9-ю включительно всего 10 жильцов, а в квартирах с 7-й по 15-ю всего 22 жильца. Сколько всего жильцов в этом доме?
|
| Авторизация через | ![]() |
Сборник предназначен для самостоятельной подготовки к выпускным экзаменам. Благодаря тестовым заданиям из открытого банка заданий, вы можете проверить свои знания и определить, насколько подготовлены к соответствующим экзаменам. Также этот сборник будет полезен учителям, которые могут использовать его для контроля результатов освоения школьниками образовательных программ основного общего образования и интенсивной подготовки учащихся.
При выполнении заданий на экзаменах можно пользоваться черновиком. Записи в черновике не учитываются при оценивании работы. Баллы, полученные Вами за выполненные задания, суммируются. Постарайтесь выполнить как можно больше заданий и набрать наибольшее количество баллов.
Желаем успехов при сдаче экзаменов!
| < Предыдущий | Следующий > |