ЕГЭ и ОГЭ
Главная

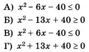
Решение 2852. Каждому из четырёх неравенств в левом столбце соответствует одно из решений в правом столбце. Установите соответствие между неравенствами и их решениями.

Задание 17. Каждому из четырёх неравенств в левом столбце соответствует одно из решений в правом столбце. Установите соответствие между неравенствами и их решениями.

НЕРАВЕНСТВА

РЕШЕНИЯ

Решение.

А) Данное неравенство можно записать в виде:

Получаем две точки -4 и 10, делящие числовую ось. И здесь нам подходит только одно решение под номером 2.

Б) По аналогии, перепишем неравенство:

Получаем две точки 5 и 8. Значит, это решение под номером 3.

В) Далее, имеем:

и две точки 4 и -10. Решение под номером 4.

Г) Преобразовываем неравенство к виду:

имеем две точки -8 и -5 и решение под номером 1.

Ответ: 2341.


Другие задания:

Темы раздела

Для наших пользователей доступны следующие материалы: