| < Предыдущий | Следующий > |
1 | Найдите значение выражения 1,32:1,2-0,8.
|
2 | Найдите значение выражения
|
3 | Налог на доходы составляет 13 % от заработной платы. После удержания налога Мария Константиновна получила 23 490 рублей. Сколько рублей составляет заработная плата Марии Константиновны?
|
4 | Длина биссектрисы
|
5 | Найдите значение выражения
|
6 | Для покраски 1 кв. м потолка требуется 290 г краски. Краска продаётся в банках по 3 кг. Какое наименьшее количество банок краски нужно для покраски потолка площадью 36 кв. м?
|
7 | Найдите корень уравнения x^2 = x + 72. Если уравнение имеет более одного корня, в ответе укажите больший из них.
|
8 | Пожарную лестницу длиной 13 м приставили к окну дома. Нижний конец лестницы отстоит от стены на 5 м. На какой высоте находится верхний конец лестницы? Ответ дайте в метрах.
|
9 | Установите соответствие между величинами и их возможными значениями: к каждому элементу первого столбца подберите соответствующий элемент из второго столбца.
|
10 | Всего в группе учащихся 51 человек, в том числе Катя и Маша. Группу случайным образом делят на три подгруппы по 17 человек для посадки в три микроавтобуса. Известно, что Катя оказалась в первом микроавтобусе. Какова вероятность того, что при этом условии Маша окажется не в первом микроавтобусе?
|
11 | На диаграмме приведены данные о численности населения в Белгороде на конец каждого года с 2000 года по 2018 год (в тыс. чел.).
Определите, на сколько тысяч человек выросла численность населения в Белгороде за 2012 год.
|
12 | В мае Петровы заработали всего 72 300 рублей. Они решили подсчитать все свои расходы за май, а половину разницы между заработанными и потраченными суммами отложить на отпуск. В результате подсчётов выяснилось, что в мае на продукты и транспорт Петровы потратили 23 700 рублей, на одежду и обувь — в три раза меньше. На квартирную плату и другие текущие расходы ушло 15 500 рублей. Какую сумму (в рублях) Петровы отложат на отпуск?
|
13 | Даны две кружки цилиндрической формы. Первая кружка вчетверо выше второй, а вторая в четыре раза шире первой. Во сколько раз объём первой кружки меньше объёма второй?
|
14 | На рисунках изображены графики функций и касательные, проведённые к ним в точках с абсциссой х0. Установите соответствие между графиками функций и значениями производной этих функций в точке х0. ГРАФИКИ
ЗНАЧЕНИЯ ПРОИЗВОДНОЙ 1) 0,2; 2) -0,8; 3) -4/3; 4) 4
|
15 | В угол с вершиной С, равный 57°, вписана окружность с центром О, которая касается сторон угла в точках А и В. Найдите угол АОВ. Ответ дайте в градусах.
|
16 | Два ребра прямоугольного параллелепипеда равны 10 и 9, а объём параллелепипеда равен 450. Найдите площадь поверхности этого параллелепипеда.
|
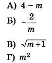
17 | Число m равно
|
18 | Диагностика 30 машин в автосервисе показала, что у 5 машин нужно заменить тормозные колодки, а у 10 машин — заменить воздушный фильтр (колодки и фильтр требуют замены независимо друг от друга). Выберите утверждения, которые верны при указанных условиях вне зависимости от того, какие машины нуждаются в замене фильтра, а какие — в замене колодок. 1) Найдётся 6 машин, в которых нужно поменять и колодки, и фильтр. 2) Найдётся 9 машин, в которых не нужно менять ни колодки, ни фильтр. 3) Не найдётся 7 машин, в которых нужно менять и колодки, и фильтр. 4) Если в машине нужно менять колодки, то фильтр тоже нужно менять.
|
19 | Найдите трёхзначное натуральное число, которое при делении и на 5, и на 9 даёт в остатке 1 и цифры в записи которого расположены в порядке убывания слева направо. В ответе укажите какое-нибудь одно такое число.
|
20 | На палке нарисованы поперечные линии красного, жёлтого и зелёного цветов. Если распилить палку по красным линиям, получится 9 кусков, если по жёлтым — 7 кусков, а если по зелёным — 6 кусков. Сколько кусков получится, если распилить палку по линиям всех трёх цветов?
|
| Авторизация через | ![]() |
Сборник предназначен для самостоятельной подготовки к выпускным экзаменам. Благодаря тестовым заданиям из открытого банка заданий, вы можете проверить свои знания и определить, насколько подготовлены к соответствующим экзаменам. Также этот сборник будет полезен учителям, которые могут использовать его для контроля результатов освоения школьниками образовательных программ основного общего образования и интенсивной подготовки учащихся.
При выполнении заданий на экзаменах можно пользоваться черновиком. Записи в черновике не учитываются при оценивании работы. Баллы, полученные Вами за выполненные задания, суммируются. Постарайтесь выполнить как можно больше заданий и набрать наибольшее количество баллов.
Желаем успехов при сдаче экзаменов!
| < Предыдущий | Следующий > |