ЕГЭ и ОГЭ
Главная

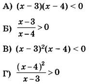
Решение 2652. Каждому из четырёх неравенств в левом столбце соответствует одно из решений в правом столбце. Установите соответствие между неравенствами и их решениями.

Задание 17. Каждому из четырёх неравенств в левом столбце соответствует одно из решений в правом столбце. Установите соответствие между неравенствами и их решениями.

НЕРАВЕНСТВА

РЕШЕНИЯ

Решение.

А) Неравенство имеет две точки 3 и 4, делящие числовую ось со следующим распределением знаков неравенства:

Получаем решение под номером 3.

Б) ОДЗ неравенства . Имеет точки 3 и 4, делящие числовую ось и такое же распределение знаков, что и в п. А. Получаем решение под номером 1.

В) Первый множитель  при любых x. Значит, отрицательные значения могут быть получены только при

Кроме того, здесь нужно исключить точку x=3, при котором неравенство принимает значение 0. Получаем решение под номером 4.

Г) В числителе  нужно исключить точку x=4, при котором неравенство равно 0. А в знаменателе взять все x>3, тогда все неравенство будет строго больше 0. Получаем решение под номером 2.

Ответ: 3142.


Другие задания:

Темы раздела

Для наших пользователей доступны следующие материалы: