| < Предыдущий | Следующий > |
1 | Найдите значение выражения
|
2 | Найдите значение выражения
|
3 | Протяженности двух рек относятся как 5:3. Первая река длиннее второй на 20 км. Найдите протяженность первой реки. Ответ дайте в километрах.
|
4 | Длина медианы, проведённой к стороне с треугольника со сторонами a, b и c, вычисляется по формуле
|
5 | Найдите значение выражения
|
6 | Файл размером 2,5 Гбайта скачался за 20 минут (скорость загрузки считайте постоянной). За сколько минут скачается файл размером 1,5 Гбайта, если скорость загрузки останется прежней?
|
7 | Найдите корень уравнения
|
8 | На рисунке изображён колодец с «журавлём». Короткое плечо имеет длину 2 м, а длинное плечо — 6 м. На сколько метров опустится конец длинного плеча, когда конец короткого поднимется на 1,5 м?
|
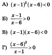
9 | Установите соответствие между величинами и их значениями: к каждому элементу первого столбца подберите соответствующий элемент из второго столбца.
|
10 | Из 800 черенков розовых кустов в среднем 120 не приживаются. Какова вероятность того, что случайно выбранный черенок приживётся?
|
11 | На графике показана зависимость температуры двигателя от времени в процессе разогрева двигателя легкового автомобиля. На оси абсцисс откладывается время в минутах, прошедшее от момента запуска двигателя, на оси ординат — температура двигателя в градусах Цельсия.
Определите по графику, на сколько градусов выросла температура двигателя за первые 5 минут после его запуска.
|
12 | Строительный подрядчик планирует купить 15 тонн облицовочного кирпича у одного из трёх поставщиков. Один кирпич весит 5 кг. Цена кирпича и условия доставки всей покупки приведены в таблице.
Во сколько рублей обойдётся наиболее дешёвый вариант покупки с доставкой?
|
13 | Пирамида Хеопса имеет форму правильной четырёхугольной пирамиды, сторона основания которой равна 230 м, а высота — 147 м. Сторона основания точной музейной копии этой пирамиды равна 23 см. Найдите высоту музейной копии. Ответ дайте в сантиметрах.
|
14 | На рисунках изображены графики функций вида y = ax^2 +bx + c. Установите соответствие между графиками функций и знаками коэффициентов a и c. ФУНКЦИИ
КОЭФФИЦИЕНТЫ 1) а > 0, с > 0 2) а > 0, с < 0 3) а < 0, с > 0 4) а < 0, с < 0
|
15 | В параллелограмме ABCD диагонали являются биссектрисами углов. АВ = 39, АС = 72. Найдите диагональ BD.
|
16 | Даны два конуса. Радиус основания и высота первого конуса равны соответственно 3 и 2, а второго — 2 и 3. Во сколько раз объём первого конуса больше объёма второго?
|
17 | Каждому из четырёх неравенств в левом столбце соответствует одно из решений в правом столбце. Установите соответствие между неравенствами и их решениями.
|
18 | В жилых домах, в которых больше 12 этажей, установлены электрические плиты, а не газовые. Выберите верные утверждения. 1) Если в доме установлены газовые плиты, то в этом доме менее 13 этажей. 2) Если в доме 15 этажей, то в нём установлены газовые плиты. 3) Если в доме больше 12 этажей, то в нём установлены электрические плиты. 4) Если в доме установлены газовые плиты, то в нём более 12 этажей.
|
19 | Четырёхзначное число А записывается цифрами 2, 4, 7 и 9, а четырёхзначное число В — цифрами 4, 5, 8 и 9 в некотором порядке. Известно, что В = 2А. Найдите число А. В ответе укажите какое-нибудь одно такое число, большее 2500.
|
20 | Среднее арифметическое девяти чисел, записанных на доске, равно 14, а среднее арифметическое первых восьми из этих чисел равно 13. Найдите девятое число, записанное на доске.
|
| Авторизация через | ![]() |
Сборник предназначен для самостоятельной подготовки к выпускным экзаменам. Благодаря тестовым заданиям из открытого банка заданий, вы можете проверить свои знания и определить, насколько подготовлены к соответствующим экзаменам. Также этот сборник будет полезен учителям, которые могут использовать его для контроля результатов освоения школьниками образовательных программ основного общего образования и интенсивной подготовки учащихся.
При выполнении заданий на экзаменах можно пользоваться черновиком. Записи в черновике не учитываются при оценивании работы. Баллы, полученные Вами за выполненные задания, суммируются. Постарайтесь выполнить как можно больше заданий и набрать наибольшее количество баллов.
Желаем успехов при сдаче экзаменов!
| < Предыдущий | Следующий > |