| < Предыдущий | Следующий > |
1 | Найдите значение выражения
|
2 | Найдите значение выражения
|
3 | Банк начисляет на срочный вклад 12 % годовых. Вкладчик положил на счёт 3000 рублей. Сколько рублей будет на этом счёте через год, если никаких операций, кроме начисления процентов, со счётом проводиться не будет?
|
4 | Ускорение тела (в м/с2) при равномерном движении по окружности можно вычислить по формуле
|
5 | Найдите значение выражения
|
6 | Теплоход рассчитан на 750 пассажиров и 25 членов команды. Каждая спасательная шлюпка может вместить 70 человек. Какое наименьшее число шлюпок должно быть на теплоходе, чтобы в случае необходимости в них можно было разместить всех пассажиров и всех членов команды?
|
7 | Найдите корень уравнения
|
8 | Дачный участок имеет форму прямоугольника со сторонами 25 метров и 30 метров. Хозяин отгородил на участке квадратный вольер со стороной 15 метров (см. рис.). Найдите площадь оставшейся части участка. Ответ дайте в квадратных метрах.
|
9 | Установите соответствие между величинами и их значениями: к каждому элементу первого столбца подберите соответствующий элемент из второго столбца.
|
10 | В группе туристов 8 человек. С помощью жребия они выбирают шестерых человек, которые должны идти в село в магазин за продуктами. Какова вероятность того, что турист Д., входящий в состав группы, пойдёт в магазин?
|
11 | На рисунке жирными точками показана цена платины, установленная Центробанком РФ во все рабочие дни в октябре 2010 года. По горизонтали указываются числа месяца, по вертикали — цена платины в рублях за грамм. Для наглядности жирные точки на рисунке соединены линией.
Определите по рисунку наибольшую цену платины в период с 7 по 19 октября. Ответ дайте в рублях за грамм.
|
12 | В таблице приведены данные о шести чемоданах.
По правилам авиакомпании сумма трёх измерений (длина, высота, ширина) чемодана, сдаваемого в багаж, не должна превышать 203 см, а масса не должна быть больше 23 кг. Какие чемоданы можно сдать в багаж по правилам этой авиакомпании?
|
13 | Деталь имеет форму изображённого на рисунке многогранника (все двугранные углы прямые). Числа на рисунке обозначают длины рёбер в сантиметрах. Найдите объём этой детали. Ответ дайте в кубических сантиметрах.
|
14 | На рисунке точками показано потребление воды городской ТЭЦ на протяжении суток. По горизонтали указываются часы, по вертикали — объём воды в кубометрах. Для наглядности точки соединены линией.
Пользуясь рисунком, поставьте в соответствие каждому из указанных периодов времени характеристику потребления воды данной ТЭЦ в течение этого периода.
|
15 | В треугольнике ABC известно, что АВ = ВС = 17, АС =16. Найдите площадь треугольника ABC.
|
16 | В основании прямой призмы лежит прямоугольный треугольник, катеты которого равны 3 и 16. Найдите объём призмы, если её высота равна 3.
|
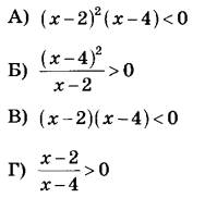
17 | Каждому из четырёх неравенств в левом столбце соответствует одно из решений в правом столбце. Установите соответствие между неравенствами и их решениями.
|
18 | При взвешивании животных в зоопарке выяснилось, что буйвол тяжелее льва, медведь легче буйвола, а рысь легче льва. Выберите утверждения, которые верны при указанных условиях. 1) Рысь тяжелее буйвола. 2) Буйвол самый тяжёлый из всех этих животных. 3) Медведь тяжелее буйвола. 4) Рысь легче буйвола.
|
19 | Четырёхзначное число А состоит из цифр 1, 4, 6, 9, а четырёхзначное число В — из цифр 2, 3, 8, 9. Известно, что В=2А. Найдите число А. В ответе укажите какое-нибудь одно такое число, большее 1500.
|
20 | В таблице три столбца и несколько строк. В каждую клетку таблицы вписали по натуральному числу так, что сумма всех чисел в первом столбце равна 119, во втором — 125, в третьем — 133, а сумма чисел в каждой строке больше 15, но меньше 18. Сколько всего строк в таблице?
|
| Авторизация через | ![]() |
Сборник предназначен для самостоятельной подготовки к выпускным экзаменам. Благодаря тестовым заданиям из открытого банка заданий, вы можете проверить свои знания и определить, насколько подготовлены к соответствующим экзаменам. Также этот сборник будет полезен учителям, которые могут использовать его для контроля результатов освоения школьниками образовательных программ основного общего образования и интенсивной подготовки учащихся.
При выполнении заданий на экзаменах можно пользоваться черновиком. Записи в черновике не учитываются при оценивании работы. Баллы, полученные Вами за выполненные задания, суммируются. Постарайтесь выполнить как можно больше заданий и набрать наибольшее количество баллов.
Желаем успехов при сдаче экзаменов!
| < Предыдущий | Следующий > |