| < Предыдущий | Следующий > |
1 | Найдите значение выражения
|
2 | Найдите значение выражения
|
3 | Тетрадь стоит 20 рублей. Сколько рублей заплатит покупатель за 140 тетрадей, если при покупке более 100 тетрадей магазин делает скидку 20 % от стоимости всей покупки?
|
4 | Зная длину своего шага, человек может приближённо подсчитать пройденное им расстояние s по формуле s = n∙l, где n — число шагов, l — длина шага. Какое расстояние прошёл человек, если l=50 см, n = 1700? Ответ дайте в метрах.
|
5 | Найдите значение выражения
|
6 | На счёте Катиного мобильного телефона было 78 рублей, а после разговора с Верой осталось 42 рубля. Известно, что разговор длился целое число минут, а одна минута разговора стоит 1 рубль 50 копеек. Сколько минут длился разговор с Верой?
|
7 | Найдите корень уравнения
|
8 | Человек стоит на расстоянии 12,3 м от столба, на котором висит фонарь, расположенный на высоте 10 м. Тень человека равна 2,7 м. Какого роста человек (в метрах)?
|
9 | Установите соответствие между величинами и их возможными значениями: к каждому элементу первого столбца подберите соответствующий элемент из второго столбца.
|
10 | Вероятность того, что на тестировании по математике учащийся А. верно решит больше шести задач, равна 0,77. Вероятность того, что А. верно решит больше пяти задач, равна 0,83. Найдите вероятность того, что А. верно решит ровно 6 задач.
|
11 | На диаграмме представлены данные о средних температурах в Санкт-Петербурге во все месяцы 2017 и 2018 годов. По горизонтали указаны месяцы, по вертикали — температура в градусах Цельсия.
Определите, сколько месяцев средняя температура в 2018 году была ниже, чем в том же месяце 2017 года.
|
12 | В таблице даны результаты олимпиад по математике и биологии в 9 «А» классе.
Похвальные грамоты дают тем школьникам, у кого суммарный балл по двум олимпиадам больше 120, а также тем, у кого хотя бы по одному предмету набрано не меньше 65 баллов. Кто из учащихся 9 «А» класса набрал меньше 65 баллов по математике и получил похвальные грамоты? Запишите в ответе номера этих учащихся без пробелов, запятых и других дополнительных символов.
|
13 | Плоскость, проходящая через точки А, В и С (см. рис.), разбивает правильную треугольную призму на два многогранника. Сколько вершин у получившегося многогранника с меньшим числом граней?
|
14 | Установите соответствие между функциями и характеристиками этих функций на отрезке [1; 5].
|
15 | В окружности с центром О отрезки АС и BD — диаметры. Вписанный угол АС В равен 26°. Найдите угол AOD. Ответ дайте в градусах.
|
16 | В основании прямой призмы лежит прямоугольный треугольник, один из катетов которого равен 2, а гипотенуза равна √53. Найдите объём призмы, если её высота равна 3.
|
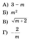
17 | На координатной прямой отмечено число m.
Каждому из четырёх чисел в левом столбце соответствует отрезок, которому оно принадлежит. Установите соответствие между числами и отрезками из правого столбца.
|
18 | Во дворе школы растут всего три дерева: ясень, рябина и осина. Ясень выше рябины на 1 метр, но ниже осины на 2 метра. Выберите утверждения, которые верны при указанных условиях. 1) Среди указанных деревьев не найдётся двух одинаковой высоты. 2) Ясень, растущий во дворе школы, выше осины, растущей там же. 3) Любое дерево, помимо указанных, которое ниже ясеня, растущего во дворе школы, также ниже рябины, растущей там же. 4) Любое дерево, помимо указанных, которое ниже рябины, растущей во дворе школы, также ниже ясеня, растущего там же.
|
19 | Найдите четырёхзначное число, которое в 11 раз меньше куба некоторого натурального числа. В ответе укажите какое-нибудь одно такое число.
|
20 | Ваня, Митя и Дима играют в настольный теннис: игрок, проигравший партию, уступает место игроку, не участвовавшему в ней. В итоге оказалось, что Митя сыграл 8 партий, а Ваня — 17. Сколько партий сыграл Дима?
|
| Авторизация через | ![]() |
Сборник предназначен для самостоятельной подготовки к выпускным экзаменам. Благодаря тестовым заданиям из открытого банка заданий, вы можете проверить свои знания и определить, насколько подготовлены к соответствующим экзаменам. Также этот сборник будет полезен учителям, которые могут использовать его для контроля результатов освоения школьниками образовательных программ основного общего образования и интенсивной подготовки учащихся.
При выполнении заданий на экзаменах можно пользоваться черновиком. Записи в черновике не учитываются при оценивании работы. Баллы, полученные Вами за выполненные задания, суммируются. Постарайтесь выполнить как можно больше заданий и набрать наибольшее количество баллов.
Желаем успехов при сдаче экзаменов!
| < Предыдущий | Следующий > |