| < Предыдущий | Следующий > |
1 | Найдите значение выражения
|
2 | Найдите значение выражения
|
3 | Пачка сливочного масла стоит 120 рублей. Пенсионерам магазин делает скидку 5 %. Сколько рублей стоит пачка масла для пенсионера?
|
4 | Работа постоянного тока (в джоулях) вычисляется по формуле
|
5 | Найдите значение выражения
|
6 | В пачке 250 листов бумаги формата А4. За неделю в офисе расходуется 800 листов. Какого наименьшего количества пачек бумаги хватит на 7 недель?
|
7 | Решите уравнение x^2-11x = -18. Если уравнение имеет более одного корня, в ответе укажите меньший из них.
|
8 | Дачный участок имеет форму прямоугольника, стороны которого равны 30 м и 40 м. Дом, расположенный на участке, на плане также имеет форму прямоугольника, стороны которого равны 5 м и 6 м. Найдите площадь оставшейся части участка, не занятой домом. Ответ дайте в квадратных метрах.
|
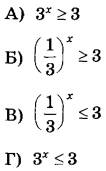
9 | Установите соответствие между величинами и их возможными значениями: к каждому элементу первого столбца подберите соответствующий элемент из второго столбца.
|
10 | Фабрика выпускает сумки. В среднем из 200 сумок, поступивших в продажу, 6 сумок имеют скрытый дефект. Найдите вероятность того, что случайно выбранная сумка окажется с дефектом.
|
11 | На диаграмме показана среднемесячная температура воздуха в Екатеринбурге (Свердловске) за каждый месяц 1973 года. По горизонтали указываются месяцы, по вертикали — температура в градусах Цельсия.
Определите по диаграмме наибольшую среднемесячную температуру в Екатеринбурге (Свердловске) в 1973 году. Ответ дайте в градусах Цельсия.
|
12 | Путешественник из Москвы хочет посетить 4 города Золотого кольца России: Владимир, Ярославль, Суздаль и Ростов Великий. Турагентство предлагает маршруты с посещением некоторых городов Золотого кольца. Сведения о стоимости билетов и маршрутах представлены в таблице.
Какие маршруты должен выбрать путешественник, чтобы побывать во всех четырёх городах и затратить менее 6000 рублей?
|
13 | В бак, имеющий форму цилиндра, налито 10 л воды. После полного погружения в воду детали уровень воды в баке увеличился в 1,6 раза. Найдите объём детали. Ответ дайте в кубических сантиметрах, зная, что в одном литре 1000 кубических сантиметров.
|
14 | На рисунке изображены график функции и касательные, проведённые к нему в точках с абсциссами A, B, C и D.
В правом столбце указаны значения производной функции в точках А, В, С и D. Пользуясь графиком, поставьте в соответствие каждой точке значение производной функции в ней.
|
15 | В треугольнике ABC угол В равен 120°. Медиана ВМ делит угол В пополам и равна 22. Найдите длину стороны АВ.
|
16 | Даны два конуса. Радиус основания и высота первого конуса равны соответственно 6 и 5, а второго — 3 и 2. Во сколько раз объём первого конуса больше объёма второго?
|
17 | Каждому из четырёх неравенств в левом столбце соответствует одно из решений в правом столбце. Установите соответствие между неравенствами и их решениями.
|
18 | В некоторый момент температура воздуха в Москве была равна 3 °С. В этот же момент в Архангельске было на 4 °С холоднее, чем в Москве, а в Махачкале на 3 °С теплее, чем в Москве. Выберите утверждения, которые были верны в этот момент при указанных условиях. 1) В Москве было теплее, чем в Махачкале. 2) В любом городе, помимо указанных, в котором было теплее, чем в Архангельске, также было теплее, чем в Москве. 3) В любом городе, помимо указанных, в котором было теплее, чем в Махачкале, также было теплее, чем в Москве. 4) В Махачкале было теплее, чем в Архангельске.
|
19 | Найдите четырёхзначное число, кратное 24, произведение цифр которого равно 16. В ответе укажите какое-нибудь одно такое число.
|
20 | На кольцевой дороге расположено четыре бензоколонки: А, Б, В и Г. Расстояние между А и Б — 60 км, между А и В — 45 км, между В и Г — 40 км, между Г и А — 35 км (все расстояния измеряются вдоль кольцевой дороги по кратчайшей дуге). Найдите расстояние (в километрах) между Б и В.
|
| Авторизация через | ![]() |
Сборник предназначен для самостоятельной подготовки к выпускным экзаменам. Благодаря тестовым заданиям из открытого банка заданий, вы можете проверить свои знания и определить, насколько подготовлены к соответствующим экзаменам. Также этот сборник будет полезен учителям, которые могут использовать его для контроля результатов освоения школьниками образовательных программ основного общего образования и интенсивной подготовки учащихся.
При выполнении заданий на экзаменах можно пользоваться черновиком. Записи в черновике не учитываются при оценивании работы. Баллы, полученные Вами за выполненные задания, суммируются. Постарайтесь выполнить как можно больше заданий и набрать наибольшее количество баллов.
Желаем успехов при сдаче экзаменов!
| < Предыдущий | Следующий > |