| < Предыдущий | Следующий > |
1 | Найдите значение выражения
|
2 | Найдите значение выражения
|
3 | Спортивный магазин проводит акцию: «Любой джемпер за 450 рублей». Кроме того, при покупке двух джемперов покупатель получает скидку 30 % на второй джемпер. Сколько рублей придётся заплатить за два джемпера?
|
4 | Перевести температуру из шкалы Фаренгейта в шкалу Цельсия можно по формуле
|
5 | Найдите значение выражения
|
6 | Для ремонта требуется 63 рулона обоев. Какое наименьшее количество пачек обойного клея нужно для такого ремонта, если одна пачка клея рассчитана на шесть рулонов?
|
7 | Найдите корень уравнения
|
8 | У двух садоводов одинаковые прямоугольные участки размером 24 м х 30 м с общей границей. Садоводы выкопали общий круглый пруд площадью 140 квадратных метров (см. чертёж), причём граница участков прошла точно через центр пруда. Какова площадь (в квадратных метрах) оставшейся части участка каждого садовода?
|
9 | Установите соответствие между величинами и их значениями: к каждому элементу первого столбца подберите соответствующий элемент из второго столбца.
|
10 | Найдите вероятность того, что случайно выбранное трёхзначное число делится на 11.
|
11 | На рисунке изображена зависимость температуры воздуха от высоты над уровнем моря. По горизонтали указана высота в метрах, по вертикали — значение температуры в градусах Цельсия.
Определите по графику, на сколько градусов Цельсия воздух на высоте 250 м теплее, чем на высоте 650 м.
|
12 | На соревнованиях по прыжкам в воду судьи выставили оценки трём спортсменам. Результаты приведены в таблице.
* К — коэффициент сложности. Итоговый балл вычисляется следующим образом: две наибольшие и две наименьшие оценки отбрасываются, а сумму трёх оставшихся оценок умножают на коэффициент сложности.
|
13 | Деталь имеет форму многогранника, изображённого на рисунке (все двугранные углы прямые). Длины рёбер показаны на рисунке. Найдите площадь поверхности детали.
|
14 | На рисунке изображён график функции у = f(x) и отмечены точки А, В, С и D на оси Ох. Поставьте в соответствие каждой точке характеристики функции и её производной в этой точке.
|
15 | В трапеции ABCD известно, что AD = 7, ВС = 1, а её площадь равна 96. Найдите площадь треугольника ABC.
|
16 | Радиус основания цилиндра равен 25, а образующая равна 9. Сечение, параллельное оси цилиндра, удалено от неё на расстояние, равное 24. Найдите площадь сечения.
|
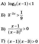
17 | Каждому из четырёх неравенств в левом столбце соответствует одно из решений в правом столбце. Установите соответствие между неравенствами и их решениями.
|
18 | Оля младше Алисы, но старше Иры. Лена не младше Иры. Выберите утверждения, которые верны при указанных условиях. 1) Алиса и Ира одного возраста. 2) Среди указанных четырёх человек нет никого младше Иры. 3) Алиса старше Иры. 4) Алиса и Оля одного возраста.
|
19 | Четырёхзначное число делится на 22, а произведение его цифр равно 40. Найдите какое-нибудь одно такое число.
|
20 | В доме четырнадцать квартир с номерами от 1 до 14. В каждой квартире живёт один, два или три человека. В квартирах с 1-й по 10-ю включительно всего 12 жильцов, а в квартирах с 7-й по 14-ю всего 18 жильцов. Сколько всего жильцов в этом доме?
|
| Авторизация через | ![]() |
Сборник предназначен для самостоятельной подготовки к выпускным экзаменам. Благодаря тестовым заданиям из открытого банка заданий, вы можете проверить свои знания и определить, насколько подготовлены к соответствующим экзаменам. Также этот сборник будет полезен учителям, которые могут использовать его для контроля результатов освоения школьниками образовательных программ основного общего образования и интенсивной подготовки учащихся.
При выполнении заданий на экзаменах можно пользоваться черновиком. Записи в черновике не учитываются при оценивании работы. Баллы, полученные Вами за выполненные задания, суммируются. Постарайтесь выполнить как можно больше заданий и набрать наибольшее количество баллов.
Желаем успехов при сдаче экзаменов!
| < Предыдущий | Следующий > |