ЕГЭ и ОГЭ
Главная

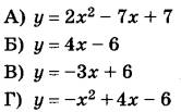
Решение 3349. Установите соответствие между функциями и характеристиками этих функций на отрезке [1; 5].

Задание 14. Установите соответствие между функциями и характеристиками этих функций на отрезке [1; 5].

ФУНКЦИИ

ХАРАКТЕРИСТИКИ

1) функция принимает отрицательное значение в каждой точке отрезка [1; 5]

2) функция возрастает на отрезке [1; 5]

3) функция принимает положительное значение в каждой точке отрезка [1; 5]

4) функция убывает на отрезке [1; 5]

Решение.

А) Данная функция – это парабола с коэффициентом a = 2 > 0 (множитель перед x^2), значит, ветви параболы направлены вверх. Эта функция не будет иметь точек пересечения с осью Ox, т.к. . Значит, на отрезке [1; 5] (и вообще всюду) функция принимает положительные значения. Имеем характеристику под номером 3.

Б) Это линейная функция с положительным угловым коэффициентом k=4, значит, функция возрастающая. Подходит характеристика под номером 2.

В) Линейная функция с отрицательным угловым коэффициентом k=-3, следовательно, она убывающая. Характеристика под номером 4.

Г) Также парабола, ветви направлены вниз (a=-1). Эта функция не будет иметь точек пересечения с осью Ox, т.к. . Значит, на отрезке [1; 5] (и вообще всюду) функция принимает отрицательные значения. Имеем характеристику под номером 1.

Ответ: 3241.


Другие задания:

Темы раздела

Для наших пользователей доступны следующие материалы: