| < Предыдущий | Следующий > |
1 | Найдите значение выражения
|
2 | Найдите значение выражения
|
3 | Банк начисляет на срочный вклад 8 % годовых. Вкладчик положил на счёт 7000 рублей. Сколько рублей будет на этом счёте через год, если никаких операций, кроме начисления процентов, со счётом проводиться не будет?
|
4 | Скорость камня (в м/с), падающего с высоты h (в м), в момент удара о землю можно найти по формуле
|
5 | Найдите значение выражения
|
6 | В летнем лагере на каждого участника полагается 60 г сахара в день. В лагере 232 человека. Какое наименьшее количество килограммовых упаковок сахара нужно на весь лагерь на 5 дней?
|
7 | Найдите корень уравнения
|
8 | Перила лестницы дачного дома для надёжности укреплены посередине вертикальным столбом. Найдите высоту l этого столба, если наименьшая высота h1 перил равна 1,25 м, а наибольшая высота h2 равна 2,25 м. Ответ дайте в метрах.
|
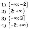
9 | Установите соответствие между величинами и их возможными значениями: к каждому элементу первого столбца подберите соответствующий элемент из второго столбца.
|
10 | В случайном эксперименте 125 элементарных равновозможных событий. Событию А благоприятствует 30 из них. Найдите вероятность события А.
|
11 | На рисунке жирными точками показана средняя температура воздуха в Якутске во все дни апреля 2018 года. По горизонтали указываются числа месяца, по вертикали — средняя температура в градусах Цельсия. Для наглядности точки на рисунке соединены линией.
Найдите, какого числа средняя температура в Якутске была наименьшей за апрель 2018 года. В ответ запишите среднюю температуру в этот день в градусах Цельсия.
|
12 | В таблице приведены данные о шести сумках.
По правилам авиакомпании в ручную кладь может быть взята сумка, сумма трёх измерений (длина, высота, ширина) которой не должна превышать 115 см, а масса не должна быть больше 10 кг. Какие сумки можно взять в ручную кладь по правилам этой авиакомпании? В ответе укажите номера выбранных сумок без пробелов, запятых и других дополнительных символов.
|
13 | Даны две коробки, имеющие форму правильной четырёхугольной призмы. Первая коробка в четыре с половиной раза выше второй, а вторая втрое шире первой. Во сколько раз объём первой коробки меньше объёма второй?
|
14 | Установите соответствие между графиками линейных функций и угловыми коэффициентами прямых.
|
15 | Найдите вписанный угол, опирающийся на дугу, длина которой равна 5/18 длины окружности. Ответ дайте в градусах.
|
16 | Стороны основания правильной треугольной пирамиды равны 24, а боковые рёбра равны 37. Найдите площадь боковой поверхности этой пирамиды.
|
17 | Каждому из четырёх неравенств в левом столбце соответствует одно из решений в правом столбце. Установите соответствие между неравенствами и их решениями.
|
18 | Кондитер испёк 40 печений, из них 10 штук он посыпал корицей, а 20 штук он собирается посыпать сахаром (кондитер может посыпать одно печенье и корицей, и сахаром, а может вообще ничем не посыпать). Выберите утверждения, которые будут выполнены при указанных условиях вне зависимости от того, какие печенья повар посыплет сахаром. 1) Найдётся 7 печений, которые ничем не посыпаны. 2) Найдётся 8 печений, посыпанных и сахаром, и корицей. 3) Если печенье посыпано корицей, то оно посыпано и сахаром. 4) Не может оказаться 12 печений, посыпанных и сахаром, и корицей.
|
19 | На 6 карточках написаны цифры 1; 2; 3; 6; 9; 9 (по одной цифре на каждой карточке). В выражении □ + □□ + □□□ вместо каждого квадратика положили карточку из набора. Оказалось, что полученная сумма делится на 10. Найдите эту сумму. В ответе укажите какое-нибудь одно такое число.
|
20 | Маша и Медведь съели 100 печений и банку варенья, начав и закончив одновременно. Сначала Маша ела варенье, а Медведь — печенья, но в какой-то момент они поменялись. Медведь и то, и другое ест в три раза быстрее Маши. Сколько печений съел Медведь, если варенья они съели поровну?
|
| Авторизация через | ![]() |
Сборник предназначен для самостоятельной подготовки к выпускным экзаменам. Благодаря тестовым заданиям из открытого банка заданий, вы можете проверить свои знания и определить, насколько подготовлены к соответствующим экзаменам. Также этот сборник будет полезен учителям, которые могут использовать его для контроля результатов освоения школьниками образовательных программ основного общего образования и интенсивной подготовки учащихся.
При выполнении заданий на экзаменах можно пользоваться черновиком. Записи в черновике не учитываются при оценивании работы. Баллы, полученные Вами за выполненные задания, суммируются. Постарайтесь выполнить как можно больше заданий и набрать наибольшее количество баллов.
Желаем успехов при сдаче экзаменов!
| < Предыдущий | Следующий > |