| < Предыдущий | Следующий > |
1 | Найдите значение выражения
|
2 | Найдите значение выражения
|
3 | Ежемесячная плата за телефон составляет 400 рублей. В следующем году она увеличится на 7 %. Сколько рублей будет составлять ежемесячная плата за телефон в следующем году?
|
4 | Кинетическая энергия тела (в джоулях) вычисляется по формуле Е=mv^2/2 ,где m — масса тела (в килограммах), а v — его скорость (в м/с). Пользуясь этой формулой, найдите Е (в джоулях), если v = 3 м/с и m = 14 кг.
|
5 | Найдите значение выражения
|
6 | Сырок стоит 16 рублей. Какое наибольшее число сырков можно купить на 205 рублей?
|
7 | Найдите корень уравнения
|
8 | Квартира состоит из двух комнат, кухни, коридора и санузла (см. чертёж). Первая комната имеет размеры 3,5м х 5 м, вторая — 3,5 мх 4,5 м, санузел имеет размеры 2 м х 1,5 м, длина коридора 11 м. Найдите площадь кухни (в квадратных метрах).
|
9 | Установите соответствие между величинами и их возможными значениями: к каждому элементу первого столбца подберите соответствующий элемент из второго столбца.
|
10 | В среднем из 140 садовых насосов, поступивших в продажу, 7 насосов подтекают. Найдите вероятность того, что один случайно выбранный для контроля насос не подтекает.
|
11 | На рисунке жирными точками показана цена палладия, установленная Центробанком РФ во все рабочие дни в октябре 2010 года. По горизонтали указываются числа месяца, по вертикали — цена палладия в рублях за грамм. Для наглядности жирные точки на рисунке соединены линиями.
Определите по рисунку, какого числа цена палладия была наименьшей за указанный период.
|
12 | Для обслуживания международного семинара необходимо собрать группу переводчиков. Сведения о кандидатах представлены в таблице.
Пользуясь таблицей, соберите хотя бы одну группу, в которой переводчики вместе владеют всеми четырьмя языками: английским, немецким, испанским и французским, а суммарная стоимость их услуг не превышает 12 000 рублей в день.
|
13 | К правильной треугольной призме со стороной основания, равной 1, приклеили правильную треугольную пирамиду со стороной основания, равной 1, так, что основания совпали. Сколько рёбер у получившегося многогранника (невидимые рёбра на рисунке не изображены)?
|
14 | На рисунке изображён график функции у = f(x). Точки a, b, c, d и e задают на оси Ох интервалы. Пользуясь графиком, поставьте в соответствие каждому интервалу характеристику функции или её производной.
|
15 | В равнобедренном треугольнике ABC медиана ВМ, проведённая к основанию, равна 12, a tgA = 12/5. Найдите длину боковой стороны треугольника ABC.
|
16 | В треугольной пирамиде ABCD рёбра АВ, АС и AD взаимно перпендикулярны. Найдите объём этой пирамиды, если АВ =3, АС = 14 и AD = 8.
|
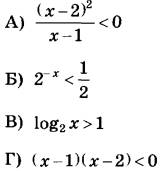
17 | Каждому из четырёх неравенств в левом столбце соответствует одно из решений в правом столбце. Установите соответствие между неравенствами и их решениями.
|
18 | В фирме работают 60 сотрудников, из них 50 человек знают английский язык, а 15 — французский. Выберите утверждения, которые верны при указанных условиях. 1) Если сотрудник этой фирмы знает английский язык, то он знает и французский. 2) Хотя бы три сотрудника этой фирмы знают и английский, и французский языки. 3) Не более 15 сотрудников этой фирмы знают и английский, и французский языки. 4) В этой фирме нет ни одного человека, знающего и английский, и французский языки.
|
19 | Найдите трёхзначное натуральное число, большее 650, но меньшее 800, которое делится на каждую свою цифру и все цифры которого различны и не равны нулю. В ответе укажите какое-нибудь одно такое число.
|
20 | Из десяти стран семь подписали договор о дружбе ровно с тремя другими странами, а каждая из оставшихся трёх — ровно с семью. Сколько всего было подписано договоров?
|
| Авторизация через | ![]() |
Сборник предназначен для самостоятельной подготовки к выпускным экзаменам. Благодаря тестовым заданиям из открытого банка заданий, вы можете проверить свои знания и определить, насколько подготовлены к соответствующим экзаменам. Также этот сборник будет полезен учителям, которые могут использовать его для контроля результатов освоения школьниками образовательных программ основного общего образования и интенсивной подготовки учащихся.
При выполнении заданий на экзаменах можно пользоваться черновиком. Записи в черновике не учитываются при оценивании работы. Баллы, полученные Вами за выполненные задания, суммируются. Постарайтесь выполнить как можно больше заданий и набрать наибольшее количество баллов.
Желаем успехов при сдаче экзаменов!
| < Предыдущий | Следующий > |