| < Предыдущий | Следующий > |
1 | Найдите значение выражения
|
2 | Найдите значение выражения
|
3 | В сентябре 1 кг слив стоил 40 рублей, в октябре сливы подорожали на 40%, а в ноябре ещё на 15%. Сколько рублей стоил 1 кг слив после подорожания в ноябре?
|
4 | Энергия заряженного конденсатора W (в Дж) вычисляется по формуле
|
5 | Найдите значение выражения
|
6 | Система навигации самолёта информирует пассажира о том, что полёт проходит на высоте 28 000 футов. Выразите высоту полёта в метрах. Считайте, что 1 фут равен 30,5 см.
|
7 | Найдите корень уравнения
|
8 | План местности разбит на клетки. Каждая клетка обозначает квадрат 1 м х 1 м. Найдите площадь участка, выделенного на плане. Ответ дайте в квадратных метрах.
|
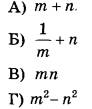
9 | Установите соответствие между величинами и их возможными значениями: к каждому элементу первого столбца подберите соответствующий элемент из второго столбца.
|
10 | На фестивале выступают группы — по одной от каждой из заявленных стран, среди этих стран Россия, Великобритания и Франция. Порядок выступления определяется жребием. Какова вероятность того, что группа из Франции будет выступать после группы из Англии и после группы из России? Результат округлите до сотых.
|
11 | На графике жирными точками показан курс доллара, установленный Центробанком РФ, на все рабочие дни с 7 по 31 мая 2018 года. По горизонтали указываются числа месяца, по вертикали — цена доллара в рублях. Для наглядности точки соединены линиями.
Определите наименьший курс доллара в рублях в период с 10 по 21 мая.
|
12 | В городском парке пять аттракционов: карусель, колесо обозрения, автодром, «Ромашка» и «Весёлый тир»? В кассах продаются билеты на каждый аттракцион отдельно и билеты «2 в 1» на два аттракциона. Цены показаны в таблице.
У Дмитрия всего 670 рублей. Какие билеты он должен купить, чтобы посетить все пять аттракционов?
|
13 | Вода в сосуде, имеющем форму правильной четырёхугольной призмы, находится на уровне h = 120 см. На каком уровне окажется вода, если её перелить в другой сосуд, имеющий форму правильной четырёхугольной призмы, у которого сторона основания вдвое больше, чем у данного? Ответ дайте в сантиметрах.
|
14 | Установите соответствие между графиками функций и характеристиками этих функций на отрезке [-1; 1].
|
15 | В окружности с центром О проведён диаметр АВ и взята точка С так, что угол COB равен 120°, АС = 21. Найдите диаметр окружности.
|
16 | Основанием четырёхугольной пирамиды является прямоугольник со сторонами 5 и 12. Найдите высоту этой пирамиды, если её объём равен 100.
|
17 | На прямой отмечены числа m и n.
Каждому из четырёх чисел в левом столбце соответствует отрезок, которому оно принадлежит. Установите соответствие между числами и отрезками из правого столбца.
|
18 | Часть сотрудников фирмы зимой ездили на курсы повышения квалификации на Кавказ. Весной было решено отправить нескольких сотрудников фирмы, не посетивших курсы на Кавказе, на стажировку в Волгоград. Выберите утверждения, которые будут выполнены при указанных условиях вне зависимости от того, кого начальство отправит на стажировку. 1) Найдётся сотрудник, который не ездил на курсы на Кавказ и не поедет на стажировку в Волгоград. 2) Среди сотрудников этой фирмы, которых не отправят на стажировку в Волгоград, есть хотя бы один, который посещал курсы на Кавказе. 3) Каждый сотрудник, который не был на курсах на Кавказе, поедет на стажировку в Волгоград. 4) Нет ни одного сотрудника этой фирмы, который посетил курсы на Кавказе и поедет на стажировку в Волгоград.
|
19 | Найдите четырёхзначное число, большее 5000, но меньшее 8000, которое делится на 90 и каждая следующая цифра которого меньше предыдущей. В ответе укажите какое-нибудь одно такое число.
|
20 | Если бы каждый из двух сомножителей увеличили на 1, их произведение увеличилось бы на 11. На самом деле каждый из двух сомножителей увеличили на 2. На сколько увеличилось произведение?
|
| Авторизация через | ![]() |
Сборник предназначен для самостоятельной подготовки к выпускным экзаменам. Благодаря тестовым заданиям из открытого банка заданий, вы можете проверить свои знания и определить, насколько подготовлены к соответствующим экзаменам. Также этот сборник будет полезен учителям, которые могут использовать его для контроля результатов освоения школьниками образовательных программ основного общего образования и интенсивной подготовки учащихся.
При выполнении заданий на экзаменах можно пользоваться черновиком. Записи в черновике не учитываются при оценивании работы. Баллы, полученные Вами за выполненные задания, суммируются. Постарайтесь выполнить как можно больше заданий и набрать наибольшее количество баллов.
Желаем успехов при сдаче экзаменов!
| < Предыдущий | Следующий > |