| < Предыдущий | Следующий > |
1 | Выберите все верные утверждения о физических явлениях, величинах и закономерностях. Запишите цифры, под которыми они указаны. 1) При соскальзывании шайбы по гладкой наклонной плоскости её импульс остаётся неизменным. 2) При кристаллизации вещества некоторое количество теплоты отдаётся в окружающую среду. 3) При соединении двух разноимённо заряженных металлических шаров проволокой перераспределение зарядов будет происходить до полного выравнивания потенциалов шаров. 4) Электромагнитные волны ультрафиолетового диапазона имеют большую длину волны, чем инфракрасное излучение. 5) В нейтральном атоме суммарное число электронов равно суммарному числу протонов в ядре этого атома.
|
2 | Даны следующие зависимости величин: A) зависимость периода свободных колебаний математического маятника от длины нити маятника Б) зависимость модуля силы Лорейца от модуля индукции магнитного поля B) зависимость числа нераспавшихся ядер радиоактивного элемента от времени Установите соответствие между этими зависимостями и видами графиков, обозначенных цифрами 1-5. Цифры в ответе могут повторяться.
|
3 | В инерциальной системе отсчёта сила 50 Н сообщает телу массой 5 кг некоторое ускорение. Какова масса тела, которому сила 60 Н сообщает такое же ускорение?
|
4 | Автобус и легковой автомобиль движутся по горизонтальному мосту. Масса легкового автомобиля m = 2000 кг. Какова масса автобуса, если отношение потенциальной энергии автобуса к потенциальной энергии легкового автомобиля относительно уровня воды в реке равно 4?
|
5 | Кирпич массой 4 кг лежит на горизонтальной кладке стены, покрытой раствором, оказывая на неё давление 1250 Па. Какова площадь грани, на которой лежит кирпич?
|
6 | На рисунке показан график зависимости координаты х тела, движущегося вдоль оси Ох, от времени t.
Из приведённого ниже списка выберите два правильных утверждения. 1) В точке D ускорение тела и его скорость направлены в одну сторону. 2) На участке CD модуль скорости тела монотонно увеличивается. 3) Проекция перемещения тела на ось Ох при переходе из точки А в точку С положительна. 4) В точке В ускорение тела равно нулю. 5) В точке А проекция скорости тела на ось Ох положительна.
|
7 | Подвешенный на пружине груз совершает свободные вертикальные гармонические колебания. Пружину заменили на другую, жёсткость которой больше, оставив массу груза и амплитуду колебаний неизменными. Как при этом изменятся частота свободных колебаний груза и его максимальная скорость? Для каждой величины определите соответствующий характер изменения: 1) увеличится 2) уменьшится 3) не изменится
|
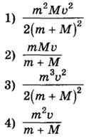
8 | Шайба массой m, скользящая по гладкой горизонтальной поверхности со скоростью v абсолютно неупруго сталкивается с покоящейся шайбой массой М. Удар центральный. Установите соответствие между физическими величинами и формулами, выражающими их в рассматриваемой задаче.
|
9 | При температуре Т0 и давлении р0 3 моль идеального газа занимают объём 2V0. Сколько моль газа будут занимать объём V0 при температуре 3Т0 и давлении 2р0?
|
10 | На VT-диаграмме показан процесс изменения состояния постоянной массы идеального одноатомного газа, где V — объём газа, Т — его абсолютная температура. В этом процессе газ отдал в окружающую среду количество теплоты, равное 80 кДж. Какую работу совершили над газом внешние силы?
|
11 | Вещество массой 0,5 кг находится в сосуде под поршнем. На рисунке показан график изменения температуры t вещества по мере поглощения им количества теплоты Q. Первоначально вещество было в жидком состоянии. Какова удельная теплота парообразования вещества?
|
12 | В стеклянную колбу налили немного воды и герметично закрыли колбу пробкой. Вода постепенно испарялась. На рисунке показан график изменения со временем t концентрации n молекул водяного пара внутри колбы. Температура в колбе в течение всего времени проведения опыта оставалась постоянной. В конце опыта в колбе ещё оставалась вода.
Из приведённого ниже списка выберите два правильных утверждения относительно описанного процесса. 1) На участке 1 плотность водяных паров уменьшалась. 2) На обоих участках водяной пар ненасыщенный. 3) На участке 2 давление водяных паров увеличивалось. 4) На участке 2 плотность водяных паров оставалась неизменной. 5) На участке 1 давление водяных паров увеличивалось.
|
13 | Один моль одноатомного идеального газа участвует в процессе 1-2-3, график которого изображён на рисунке в координатах p-V, где р — давление газа, V — объём газа. Как изменяются абсолютная температура газа Т в ходе процесса 1-2 и плотность газа ρ в ходе процесса 2-3? Масса газа остаётся постоянной.
Для каждой величины определите соответствующий характер изменения: 1) увеличивается 2) уменьшается 3) не изменяется
|
14 | Расстояние между двумя точечными электрическими зарядами уменьшили в 3 раза, каждый из зарядов увеличили в 3 раза. Во сколько раз увеличился модуль сил электростатического взаимодействия между ними?
|
15 | Сила тока, текущего по проводнику, равна 10 А. За какое время через проводник протечет заряд 50 Кл?
|
16 | Луч света падает на плоское зеркало. Угол между падающим и отражённым лучами равен 40°. Чему равен угол между отражённым лучом и зеркалом?
|
17 | По гладким параллельным рельсам, замкнутым на лампочку накаливания, перемещают лёгкий тонкий проводник. Контур находится в однородном магнитном поле с индукцией В (см. рис. а). При движении проводника площадь контура изменяется так, как указано на рис. б.
Выберите два верных утверждения, соответствующих приведённым данным и описанию опыта. 1) В момент времени t = 3 с сила Ампера, действующая на проводник, направлена вправо. 2) Сила, прикладываемая к проводнику для его перемещения, в первые 2 секунды максимальна. 3) В течение первых 6 секунд индукционный ток течёт через лампочку непрерывно. 4) В интервале времени от 4 до 6 с через лампочку протекает индукционный ток. 5) Индукционный ток течёт в контуре всё время в одном направлении.
|
18 | На рисунке показана цепь постоянного тока, содержащая источник тока с ЭДС E два резистора и реостат. Сопротивления резисторов R1 и R2 одинаковы и равны R. Сопротивление реостата R3 можно менять. Как изменятся напряжение на резисторе R1 и тепловая мощность, выделяемая на резисторе R2, если уменьшить сопротивление реостата от R до 0? Внутренним сопротивлением источника пренебречь.
Для каждой величины определите соответствующий характер изменения: 1) увеличится 2) уменьшится 3) не изменится
|
19 | Конденсатор колебательного контура длительное время подключён к источнику постоянного напряжения (см. рисунок). В момент t = 0 переключатель К переводят из положения 1 в положение 2. Графики А и Б представляют изменения физических величин, характеризующих электромагнитные колебания в контуре после этого (Т — период колебаний).
Установите соответствие между графиками и физическими величинами, зависимости которых от времени эти графики могут представлять.
|
20 | Период полураспада Т изотопа европия
|
21 | На рисунке изображена упрощённая диаграмма нижних энергетических уровней атома. Стрелками отмечены некоторые возможные переходы атома между этими уровнями.
Установите соответствие между процессами излучения света наименьшей длины волны и поглощения света наименьшей частоты и энергией соответствующего фотона.
|
22 | Определите силу тока в лампочке (см. рисунок), если погрешность прямого измерения силы тока равна цене деления амперметра.
|
23 | Ученику необходимо на опыте обнаружить зависимость объёма газа, находящегося в сосуде под подвижным поршнем, от температуры. У него имеются пять различных сосудов с манометрами. Сосуды наполнены одним и тем же газом при различных значениях температуры и давления (см. таблицу). Какие два сосуда необходимо взять ученику, чтобы провести данное исследование?
|
24 | Параллельно катушке индуктивности L включена лампочка (см. рис. а). Яркость свечения лампочки прямо пропорциональна напряжению на ней. На рис. б представлен график зависимости силы тока I в катушке от времени t. Сопротивлением катушки пренебречь. Опираясь на законы физики, изобразите график зависимости яркости свечения лампочки от времени.
|
25 | Груз массой m = 1,5 кг и объёмом
|
26 | На дифракционную решётку, имеющую 300 штрихов на 1 мм, перпендикулярно её поверхности падает узкий луч монохроматического света частотой
|
27 | Один моль одноатомного идеального газа совершает процесс 1-2-3, график которого показан на рисунке в координатах T-V, Известно, что в процессе 1-2 газ совершил работу 3 кДж, а в процессе 2-3 объём газа V увеличился в 2 раза. Какое количество теплоты было сообщено газу в процессе 1-2-3, если его температура Т в состоянии 3 равна 600 К?
|
28 | На горизонтальном столе лежат два параллельных друг другу рельса: a и b, замкнутых двумя одинаковыми металлическими проводниками: АС и ED (см. рисунок). Вся система проводников находится в однородном магнитном поле, направленном вертикально вниз. Модуль индукции магнитного поля равен B, расстояние между рельсами l, скорости проводников v1 и v2, сопротивление каждого из проводников R. Какова сила тока в цепи? Сопротивлением рельсов пренебречь.
|
29 | Главная оптическая ось тонкой собирающей линзы с оптической силой D = 5 дптр и точечный источник света S находятся в плоскости рисунка. Точка S находится на расстоянии b = 70 см от плоскости линзы и на расстоянии H = 10 см от её главной оптической оси. В левой фокальной плоскости линзы лежит тонкий непрозрачный экран с маленьким отверстием A, находящимся в плоскости рисунка на расстоянии h от главной оптической оси линзы. Определите расстояние h, если известно, что луч SA от точечного источника, пройдя через отверстие в экране и линзу, пересечёт её главную оптическую ось на расстоянии x = 18 см от плоскости линзы? Дифракцией света пренебречь. Постройте рисунок, показывающий ход луча через линзу.
|
30 | В маленький шар массой М = 250 г, висящий на нити длиной l = 50 см, попадает и застревает в нём горизонтально летящая пуля массой m = 10 г. При какой минимальной скорости пули шар после этого совершит полный оборот в вертикальной плоскости? Сопротивлением воздуха пренебречь.
|
| Авторизация через | ![]() |
Сборник предназначен для самостоятельной подготовки к выпускным экзаменам. Благодаря тестовым заданиям из открытого банка заданий, вы можете проверить свои знания и определить, насколько подготовлены к соответствующим экзаменам. Также этот сборник будет полезен учителям, которые могут использовать его для контроля результатов освоения школьниками образовательных программ основного общего образования и интенсивной подготовки учащихся.
При выполнении заданий на экзаменах можно пользоваться черновиком. Записи в черновике не учитываются при оценивании работы. Баллы, полученные Вами за выполненные задания, суммируются. Постарайтесь выполнить как можно больше заданий и набрать наибольшее количество баллов.
Желаем успехов при сдаче экзаменов!
| < Предыдущий | Следующий > |