ЕГЭ и ОГЭ
Главная

Решение 3054. Пучок монохроматического света переходит из воздуха в воду. Частота световой волны – v; скорость света в воздухе – c; показатель преломления воды относительно воздуха – n. Установите соответствие между

Задание 19. Пучок монохроматического света переходит из воздуха в воду. Частота световой волны – v; скорость света в воздухе – c; показатель преломления воды относительно воздуха – n.

Установите соответствие между физическими величинами и формулами, по которым их можно рассчитать.

ФИЗИЧЕСКИЕ ВЕЛИЧИНЫ

А) длина волны света в воде

Б) длина волны света в воздухе

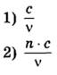
ФОРМУЛЫ

Решение.

А) Показатель преломления среды показывает отношение изменение скоростей распространения волны при переходе из одной среды в другую:

Длина волны в воде, а длина волны в воздухе , откуда  и, учитывая, что  (скорость света в воде), получаем:

Б) Длина волны света в воздухе равна .

Ответ: 31


Другие задания:

Темы раздела

Для наших пользователей доступны следующие материалы: