| < Предыдущий | Следующий > |
1 | Выберите все верные утверждения о физических явлениях, величинах и закономерностях. Запишите цифры, под которыми они указаны, 1) Чем быстрее набирает лифт скорость, трогаясь вверх, тем большую перегрузку испытывает человек. 2) Удельная теплоёмкость вещества показывает, какое количество теплоты необходимо сообщить 1 кг вещества для его плавления. 3) Точечный заряд, помещённый посередине между двумя одинаковыми точечными зарядами, всегда находится в состоянии устойчивого равновесия. 4) Эхолокация и радиолокация основаны на прямолинейном распространении волн в однородной среде и их отражении от определяемого объекта. 5) В промышленных реакторах деление ядер урана происходит под действием быстрых электронов.
|
2 | Даны следующие зависимости величин: A) зависимость кинетической энергии тела массой m от скорости его движения Б) зависимость объёма постоянной массы идеального газа от абсолютной температуры в изотермическом процессе B) зависимость сопротивления цилиндрического медного проводника площадью поперечного сечения S от его длины Установите соответствие между этими зависимостями и видами графиков, обозначенных цифрами 1-5. Цифры в ответе могут повторяться.
|
3 | Из двух городов навстречу друг другу с постоянной скоростью движутся два автомобиля. На графике показана зависимость расстояния между автомобилями от времени. Скорость второго автомобиля равна 30 м/с. Какова скорость первого автомобиля?
|
4 | С какой скоростью движется автобус массой 8000 кг, если его кинетическая энергия равна 900 кДж?
|
5 | Во сколько раз уменьшится период малых свободных колебаний математического маятника, если длину его нити уменьшить в 16 раз, а массу его груза уменьшить в 4 раза?
|
6 | В инерциальной системе отсчёта вдоль оси Ох движется тело массой 20 кг. На рисунке приведён график зависимости проекции vx скорости этого тела от времени t.
Из приведённого ниже списка выберите два правильных утверждения относительно этого движения. 1) В промежутке времени от 0 до 30 с проекция ∆х перемещения тела в 2 раза меньше, чем в промежутке времени от 60 до 90 с. 2) В момент времени 95 с проекция Fx равнодействующей сил, действующих на тело, положительна. 3) В промежутке времени от 0 до 30 с направление равнодействующей сил, действующих на тело, совпадает с направлением скорости тела. 4) В промежутке времени от 10 до 30 с равнодействующая сил, действующих на тело, совершает работу, равную нулю. 5) Кинетическая энергия тела в момент времени 15 с равна 40 Дж.
|
7 | В результате перехода с одной круговой орбиты на другую центростремительное ускорение спутника Земли уменьшилось. Как изменились при этом радиус орбиты спутника и его потенциальная энергия? Для каждой величины определите соответствующий характер изменения: 1) увеличилась 2) уменьшилась 3) не изменилась
|
8 | После удара в момент t = 0 шайба начала скользить вверх по гладкой наклонной плоскости со скоростью v0, как показано на рисунке. В момент t0 шайба вернулась в исходное положение. Графики А и Б отображают изменение с течением времени физических величин, характеризующих движение шайбы.
|
9 | В результате охлаждения разреженного одноатомного газа его абсолютная температура уменьшилась в 9 раз. Во сколько раз уменьшилась при этом среднеквадратичная скорость теплового движения молекул газа?
|
10 | Газ отдал количество теплоты, равное 400 Дж. При этом внутренняя энергия газа увеличилась на 300 Дж. Определите модуль работы внешних сил в этом процессе. Количество вещества газа считать постоянным.
|
11 | На рисунке показан график изменения температуры вещества t по мере поглощения им количества теплоты Q. Масса вещества равна 16 кг. Первоначально вещество было в твёрдом состоянии. Какова удельная теплота плавления вещества?
|
12 | На рисунке показан график циклического процесса, проведённого с одноатомным идеальным газом, в координатах V-T, где V — объём газа, Т — абсолютная температура газа. Количество вещества газа постоянно.
Из приведённого ниже списка выберите два правильных утверждения, характеризующих процессы на графике. 1) Газ за цикл совершает работу, равную нулю. 2) В процессе CD внутренняя энергия газа увеличивается. 3) В процессе ВС газ получает положительное количество теплоты, при этом не совершает работу. 4) В процессе DA давление газа изотермически уменьшается. 5) Давление газа в процессе АВ постоянно, при этом внешние силы совершают над газом положительную работу.
|
13 | Температуру нагревателя тепловой машины Карно повысили, оставив температуру холодильника прежней. Количество теплоты, отданное газом холодильнику за цикл, не изменилось. Как изменились при этом КПД тепловой машины и работа газа за цикл? Для каждой величины определите соответствующий характер её изменения: 1) увеличилась 2) уменьшилась 3) не изменилась
|
14 | Во сколько раз увеличится ускорение заряженной пылинки, движущейся в однородном электрическом поле, если её заряд уменьшить в 2 раза, а напряжённость поля увеличить в 3 раза? Силу тяжести и сопротивление воздуха не учитывать.
|
15 | Пять одинаковых резисторов соединены в электрическую цепь, через которую течёт ток I = 6 А (см. рисунок). Каково сопротивление каждого резистора, если идеальный вольтметр показывает напряжение 45 В?
|
16 | Заряженный конденсатор в первый раз подключили к катушке с индуктивностью L, а во второй — к катушке с индуктивностью 4L. В обоих случаях в образовавшемся контуре возникли свободные незатухающие электромагнитные колебания. Каково отношение v2/v1 частот этих колебаний?
|
17 | Плоский воздушный конденсатор емкостью C0, подключенный к источнику постоянного напряжения, состоит из двух металлических пластин, находящихся на расстоянии d0 друг от друга. Расстояние между пластинами меняется со временем так, как показано на графике.
Выберите два верных утверждения, соответствующих описанию опыта. 1) В момент времени t4 ёмкость конденсатора уменьшилась в 5 раз по сравнению с первоначальной (при t = 0). 2) В интервале времени от t1 до t4 заряд конденсатора возрастает. 3) В интервале времени от t1 до t3 энергия конденсатора увеличилась в 2 раза. 4) В промежутке времени от t1 до t4 напряжённость электрического поля между пластинами конденсатора остаётся постоянной. 5) В промежутке времени от t1 до t4 напряжённость электрического поля между пластинами конденсатора убывает.
|
18 | Протон движется по окружности в однородном магнитном поле. Как изменятся ускорение протона и частота его обращения, если увеличить его кинетическую энергию? Для каждой величины определите соответствующий характер изменения: 1) увеличится 2) уменьшится 3) не изменится
|
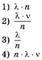
19 | Пучок монохроматического света переходит из воздуха в воду. Частота световой волны — v; длина световой волны в воде — λ; показатель преломления воды относительно воздуха — n. Установите соответствие между физическими величинами и формулами, по которым их можно рассчитать.
|
20 | Дан график зависимости числа нераспавшихся ядер некоторого изотопа от времени. Через какое время распадётся примерно 75 % ядер этого изотопа?
|
21 | На металлическую пластинку падает пучок монохроматического света. При этом наблюдается явление фотоэффекта. На графике А представлена зависимость некоторой физической величины x1, характеризующей фотоэлектроны, от частоты v, а на графике Б — зависимость некоторой физической величины x2, характеризующей фотоны, падающие на катод, от длины волны λ. Какая из физических величин отложена на вертикальной оси на графике А и какая — на графике Б?
|
22 | Школьный реостат состоит из керамического цилиндра, на который плотно, виток к витку, намотана проволока, покрытая тонким слоем лака для изоляции. Для выполнения лабораторной работы по измерению удельного сопротивления материала, из которого изготовлена проволока реостата, необходимо измерить её диаметр. Ученик насчитал 40 витков проволоки, а длина намотки, измеренная линейкой, составила 5 см. Чему равен диаметр проволоки по результатам этих измерений, если погрешность линейки равна ±1 мм?
|
23 | Ученик изучает законы постоянного тока. В его распоряжении имеется пять аналогичных электрических цепей (см. рисунок) с различными источниками и внешними сопротивлениями, характеристики которых указаны в таблице. Какие две цепи необходимо взять ученику для того, чтобы на опыте исследовать зависимость силы тока, протекающего в цепи, от внешнего сопротивления?
|
24 | 1 моль разреженного гелия участвует в циклическом процессе 1-2-3-4-1, график которого изображён на рисунке в координатах р-Т, где р — давление газа, Т — абсолютная температура. Постройте график цикла в координатах p-V, где р — давление газа, V — объём газа. Опираясь на законы молекулярной физики и термодинамики, объясните построение графика. Определите, во сколько раз работа газа в процессе 1-2 меньше модуля работы внешних сил в процессе 3-4.
|
25 | Снаряд массой 5 кг, летящий со скоростью 100 м/с, разрывается на два осколка. Первый осколок массой 4 кг летит под углом 90° к первоначальному направлению, а второй — под углом 60°. Какова скорость второго осколка?
|
26 | На металл падает поток фотонов с длиной волны в 3 раза меньше «красной границы» фотоэффекта. Во сколько раз уменьшится максимальная кинетическая энергия фотоэлектронов, вылетающих из этого металла, если длину волны падающего света увеличить в 1,5 раза?
|
27 | В комнате размерами 4мх5мх3м, в которой воздух имеет температуру 20 °С и относительную влажность 35 %, включили увлажнитель воздуха производительностью 0,36 кг/ч. Сколько времени необходимо работать увлажнителю, чтобы относительная влажность воздуха в комнате стала равна 70 % ? Давление насыщенного водяного пара при температуре 20 °С равно 2,33 кПа. Комнату считать герметичным сосудом.
|
28 | В однородном магнитном поле с индукцией B, направленной вертикально вниз, равномерно вращается по окружности в горизонтальной плоскости против часовой стрелки положительно заряженный шарик массой m, подвешенный на нити длиной l (конический маятник) (см. рисунок). Угол отклонения нити от вертикали равен α, скорость вращения шарика равна v. Найдите заряд шарика q. Сделайте рисунок с указанием сил, действующих на шарик.
|
29 | Равнобедренный прямоугольный треугольник ABC расположен перед тонкой собирающей линзой оптической силой 2,5 дптр так, что его катет АС лежит на главной оптической оси линзы (см. рисунок). Вершина прямого угла С лежит дальше от центра линзы, чем вершина острого угла А, расстояние от центра линзы до точки А равно удвоенному фокусному расстоянию линзы, АС = 4 см. Постройте изображение треугольника и найдите площадь получившейся фигуры.
|
30 | Небольшой кубик массой m = 1,5 кг начинает скользить с высоты H = 2,45 м с нулевой начальной скоростью по гладкой горке, переходящей в «мёртвую петлю» радиусом R = 1,5 м (см. рисунок). На какой высоте от нижней точки петли сила давления кубика на стенку петли F = 4 Н? Сделайте рисунок с указанием сил, поясняющий решение.
Обоснуйте применимость используемых законов к решению задачи.
|
| Авторизация через | ![]() |
Сборник предназначен для самостоятельной подготовки к выпускным экзаменам. Благодаря тестовым заданиям из открытого банка заданий, вы можете проверить свои знания и определить, насколько подготовлены к соответствующим экзаменам. Также этот сборник будет полезен учителям, которые могут использовать его для контроля результатов освоения школьниками образовательных программ основного общего образования и интенсивной подготовки учащихся.
При выполнении заданий на экзаменах можно пользоваться черновиком. Записи в черновике не учитываются при оценивании работы. Баллы, полученные Вами за выполненные задания, суммируются. Постарайтесь выполнить как можно больше заданий и набрать наибольшее количество баллов.
Желаем успехов при сдаче экзаменов!
| < Предыдущий | Следующий > |