| < Предыдущий | Следующий > |
1 | Выберите все верные утверждения о физических явлениях, величинах и закономерностях. Запишите цифры, под которыми они указаны. 1) Работа внешней силы по растяжению пружины прямо пропорциональна квадрату её удлинения. 2) КПД идеальной тепловой машины с заданным холодильником понижается с повышением температуры нагревателя. 3) При уменьшении расстояния между двумя точками проволоки, по которой течёт ток, напряжение между ними увеличивается. 4) Во всех проводящих средах электрический ток представляет собой упорядоченное движение свободных носителей заряда, происходящее на фоне их хаотического теплового движения. 5) Волновой характер гамма-излучения проявляется в явлении дифракции.
|
2 | Даны следующие зависимости величин: A) зависимость периода свободных колебаний математического маятника от длины нити маятника Б) зависимость внутренней энергии идеального газа, находящегося при температуре T, от массы газа B) зависимость импульса фотона от длины волны Установите соответствие между этими зависимостями и видами графиков, обозначенных цифрами 1-5. Цифры в ответе могут повторяться.
|
3 | В инерциальной системе отсчёта сила 50 Н сообщает телу массой 5 кг некоторое ускорение. Какая сила сообщает такое же ускорение телу массой 3 кг?
|
4 | Легковой автомобиль и грузовик движутся по горизонтальному мосту. Масса грузовика m = 4500 кг. Какова масса легкового автомобиля, если отношение потенциальной энергии грузовика к потенциальной энергии легкового автомобиля относительно уровня воды в реке равно 3?
|
5 | Кирпич массой 6 кг лежит на горизонтальной кладке стены, покрытой раствором. Какое давление оказывает кирпич на стену, если площадь грани, на которой он лежит, равна 300 см2?
|
6 | На рисунке показан график зависимости координаты x тела, движущегося вдоль оси Ох, от времени t.
Из приведённого ниже списка выберите два правильных утверждения. 1) В точке D ускорение тела и его скорость направлены в противоположные стороны. 2) На участке CD модуль скорости тела монотонно увеличивается. 3) Проекция перемещения тела на ось Ох при переходе из точки А в точку С отрицательна. 4) В точке В проекция ускорения тела на ось Ох отрицательна. 5) В точке А проекция скорости тела на ось Ох отрицательна.
|
7 | Подвешенный на пружине груз совершает свободные вертикальные гармонические колебания. Груз заменили на другой, масса которого больше, оставив пружину и амплитуду колебаний неизменными. Как при этом изменятся частота свободных колебаний груза и его максимальная скорость? Для каждой величины определите соответствующий характер изменения: 1) увеличится 2) уменьшится 3) не изменится
|
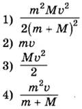
8 | Шайба массой m, скользящая по гладкой горизонтальной поверхности со скоростью v абсолютно неупруго сталкивается с покоящейся шайбой массой M. Удар центральный. Установите соответствие между физическими величинами и формулами, выражающими их в рассматриваемой задаче.
|
9 | При температуре T0 и давлении p0 3 моль идеального газа занимают объём 20 л. Какой объём будут занимать 2 моль газа при температуре 3T0 и давлении 4р0?
|
10 | На VT-диаграмме показан процесс изменения состояния постоянной массы идеального одноатомного газа, где V — объём газа, Т — его абсолютная температура. Работа, совершённая над газом в этом процессе, равна 50 кДж. Какое количество теплоты отдал газ в окружающую среду?
|
11 | Вещество массой 6 кг находится в сосуде. На рисунке показан график изменения температуры t вещества по мере поглощения им количества теплоты Q. Первоначально вещество было в твёрдом состоянии. Какова удельная теплота плавления вещества?
|
12 | В стеклянную колбу налили немного воды и герметично закрыли колбу пробкой. Вода постепенно испарялась. На рисунке показан график изменения со временем t концентрации n молекул водяного пара внутри колбы. Температура в колбе в течение всего времени проведения опыта оставалась постоянной. В конце опыта в колбе ещё оставалась вода.
Из приведённого ниже списка выберите два правильных утверждения относительно описанного процесса. 1) На участке 1 плотность водяных паров увеличивалась. 2) На обоих участках водяной пар ненасыщенный. 3) На участке 2 давление водяных паров не менялось. 4) На участке 2 плотность водяных паров уменьшалась. 5) На участке 1 давление водяных паров уменьшалось.
|
13 | Один моль одноатомного идеального газа участвует в процессе 1-2-3, график которого изображён на рисунке в координатах p-V, где р – давление газа, V – объём газа. Как изменяются плотность газа в ходе процесса 1-2 и абсолютная температура газа Т в ходе процесса 2-3? Масса газа остаётся постоянной.
Для каждой величины определите соответствующий характер изменения: 1) увеличивается 2) уменьшается 3) не изменяется
|
14 | Расстояние между двумя точечными электрическими зарядами увеличили в 6 раз, каждый из зарядов увеличили в 3 раза. Во сколько раз уменьшился модуль сил электростатического взаимодействия между ними?
|
15 | Определите силу тока, текущего по проводнику, если за 40 с по нему пройдёт заряд 100 Кл.
|
16 | Луч света падает на плоское зеркало. Угол между падающим и отражённым лучами равен 30°. Чему равен угол между падающим лучом и зеркалом?
|
17 | По гладким параллельным рельсам, замкнутым на лампочку накаливания, перемещают лёгкий тонкий проводник. Контур находится в однородном магнитном поле с индукцией В (см. рис. а). При движении проводника площадь контура изменяется так, как указано на графике б.
Выберите два верных утверждения, соответствующих приведённым данным и описанию опыта. 1) В момент времени t = l с сила Ампера, действующая на проводник, направлена вправо. 2) Сила, прикладываемая к проводнику для его перемещения, в первые 2 секунды минимальна. 3) В интервале времени от 2 до 4 с индукционный ток, протекающий через лампочку, равен нулю. 4) В течение первых 6 секунд индукционный ток течёт через лампочку непрерывно. 5) Индукционный ток течёт в контуре всё время в одном направлении.
|
18 | На рисунке показана цепь постоянного тока, содержащая источник тока с ЭДС E, два резистора и реостат. Сопротивления резисторов R1 и R2 одинаковы и равны R. Сопротивление реостата R3 можно менять. Как изменятся напряжение на резисторе R2 и суммарная тепловая мощность, выделяемая во внешней цепи, если уменьшить сопротивление реостата от R до 0? Внутренним сопротивлением источника пренебречь.
Для каждой величины определите соответствующий характер изменения: 1) увеличится 2) уменьшится 3) не изменится
|
19 | Конденсатор колебательного контура длительное время подключён к источнику постоянного напряжения (см. рисунок). В момент t = 0 переключатель К переводят из положения 1 в положение 2. Графики А и Б представляют изменения физических величин, характеризующих электромагнитные колебания в контуре после этого (Т — период колебаний).
Установите соответствие между графиками и физическими величинами, зависимости которых от времени эти графики могут представлять.
|
20 | Период полураспада Т изотопа европия
|
21 | На рисунке изображена упрощённая диаграмма нижних энергетических уровней атома. Стрелками отмечены некоторые возможные переходы атома между этими уровнями.
Установите соответствие между процессами поглощения света наименьшей длины волны и излучения света наименьшей частоты и энергией соответствующего фотона.
|
22 | Определите силу тока в лампочке (см. рисунок), если погрешность прямого измерения силы тока равна цене деления амперметра.
|
23 | Ученику необходимо на опыте обнаружить зависимость объёма газа, находящегося в сосуде под подвижным поршнем, от внешнего давления. У него имеются пять различных сосудов с манометрами. Сосуды наполнены одним и тем же газом при различных значениях температуры и давления (см. таблицу). Какие два сосуда необходимо взять ученику, чтобы провести данное исследование?
|
24 | Параллельно катушке индуктивности L включена лампочка (см. рис. а). Яркость свечения лампочки прямо пропорциональна напряжению на ней. На рис. б представлен график зависимости силы тока I в катушке от времени t. Сопротивлением катушки пренебречь. Опираясь на законы физики, изобразите график зависимости яркости свечения лампочки от времени.
|
25 | Груз массой m = 2,0 кг и объёмом V=
|
26 | На дифракционную решётку, имеющую 500 штрихов на 1 мм, перпендикулярно её поверхности падает узкий луч монохроматического света частотой
|
27 | Один моль одноатомного идеального газа совершает процесс 1-2-3, график которого показан на рисунке в координатах T-V. Известно, что в процессе 1-2 газ совершил работу 2,5 кДж, а в процессе 2-3 объём газа V увеличился в 3 раза. Какое количество теплоты было сообщено газу в процессе 1-2-3, если его температура Т в состоянии 1 равна 300 К?
|
28 | На горизонтальном столе лежат два параллельных друг другу рельса: a и b, — замкнутых двумя одинаковыми металлическими проводниками: АС и ED (см. рисунок). Вся система проводников находится в однородном магнитном поле, направленном вертикально вниз. Модуль индукции магнитного поля равен B, расстояние между рельсами l, скорости проводников v1 и v2. Чему равно сопротивление каждого из проводников, если сила тока в цепи равна I? Сопротивлением рельсов пренебречь.
|
29 | Главная оптическая ось тонкой собирающей линзы с фокусным расстоянием F = 20 см и точечный источник света S находятся в плоскости рисунка. Точка S находится на расстоянии b = 70 см от плоскости линзы и на расстоянии Н = 5 см от её главной оптической оси. В левой фокальной плоскости линзы лежит тонкий непрозрачный экран с маленьким отверстием А, находящимся в плоскости рисунка на расстоянии h = 4 см от главной оптической оси линзы. На каком расстоянии x от плоскости линзы луч SA от точечного источника, пройдя через отверстие в экране и линзу, пересечёт её главную оптическую ось? Дифракцией света пренебречь. Постройте рисунок, показывающий ход луча через линзу.
|
30 | В маленький шар, висящий на нити длиной l = 50 см, попадает и застревает в нём горизонтально летящая со скоростью v0 = 300 м/с пуля массой m = 10 г. Определите максимальную массу шара, при которой он после этого совершит полный оборот в вертикальной плоскости. Сопротивлением воздуха пренебречь.
|
| Авторизация через | ![]() |
Сборник предназначен для самостоятельной подготовки к выпускным экзаменам. Благодаря тестовым заданиям из открытого банка заданий, вы можете проверить свои знания и определить, насколько подготовлены к соответствующим экзаменам. Также этот сборник будет полезен учителям, которые могут использовать его для контроля результатов освоения школьниками образовательных программ основного общего образования и интенсивной подготовки учащихся.
При выполнении заданий на экзаменах можно пользоваться черновиком. Записи в черновике не учитываются при оценивании работы. Баллы, полученные Вами за выполненные задания, суммируются. Постарайтесь выполнить как можно больше заданий и набрать наибольшее количество баллов.
Желаем успехов при сдаче экзаменов!
| < Предыдущий | Следующий > |