| < Предыдущий | Следующий > |
1 | Выберите все верные утверждения о физических явлениях, величинах и закономерностях. Запишите цифры, под которыми они указаны. 1) Сила трения, действующая на покоящуюся шайбу, лежащую на наклонной плоскости, по мере уменьшения угла наклона уменьшается. 2) При изотермическом расширении постоянной массы идеального газа его внутренняя энергия уменьшается. 3) В металлических проводниках электрический ток представляет собой упорядоченное движение свободных электронов, происходящее на фоне их теплового движения. 4) Разноимённые полюса постоянных магнитов отталкиваются друг от друга. 5) Под энергией связи ядра понимают ту энергию, которая необходима для отрыва от ядра всех электронов нейтрального атома.
|
2 | Даны следующие зависимости величин: A) зависимость кинетической энергии тела массой m от импульса тела Б) зависимость давления постоянной массы идеального газа от его объёма в изобарном процессе B) зависимость количества теплоты, выделяющейся на резисторе сопротивлением R за время от силы тока, протекающего по резистору Установите соответствие между этими зависимостями и видами графиков, обозначенных цифрами 1-5. Цифры в ответе могут повторяться.
|
3 | Расстояние от искусственного спутника до поверхности Земли равно радиусу Земли. Во сколько раз уменьшится сила притяжения спутника к Земле, если расстояние от него до поверхности Земли станет равным двум радиусам Земли?
|
4 | На тело массой 2,5 кг, движущееся прямолинейно в инерциальной системе отсчёта, в течение 5 с в направлении движения действует постоянная сила, при этом импульс тела увеличивается на 40 кг∙м/с. Какова величина силы, действующей на тело?
|
5 | В момент времени t0 груз нитяного маятника, имеющего период колебаний T = 1,2 с, проходит через положение равновесия (см. рисунок). За какой промежуток времени с момента t0 он проходит путь, равный двум амплитудам колебаний?
|
6 | Учащиеся роняли с башни шарики для настольного тенниса и снимали их полёт цифровой видеокамерой. Обработка видеозаписей позволила построить графики зависимости пути s, пройденного шариком, и его скорости v от времени падения t.
Выберите два верных утверждения, характеризующих наблюдаемое падение. 1) Величина ускорения, с которым падал шарик, уменьшалась в интервале времени (0-t3) и была равной нулю при t > t3. 2) В течение всего времени падения (0-t5) кинетическая энергия шарика увеличивалась. 3) Сумма кинетической и потенциальной энергий шарика оставалась неизменной во время падения. 4) В течение всего времени падения: (0-t5) величина импульса шарика постоянно возрастала. 5) Величина ускорения, с которым падал шарик, уменьшалась в интервале времени (0-t3).
|
7 | Камень брошен вверх под углом к горизонту. Сопротивление воздуха пренебрежимо мало. Как меняются по мере подъёма камня модуль ускорения камня и его кинетическая энергия? Для каждой величины определите соответствующий характер изменения: 1) увеличивается 2) уменьшается 3) не изменяется
|
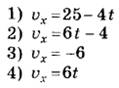
8 | Выражения А и Б определяют зависимость координат двух тел от времени. Установите соответствие между зависимостью координаты тела от времени и зависимостью проекции скорости от времени для этого же тела (все величины заданы в СИ).
|
9 | На рисунке представлен график зависимости объёма идеального газа от его температуры в некотором процессе. В состоянии 1 давление газа было равно нормальному атмосферному давлению. Какое давление соответствует состоянию 2, если масса газа остаётся неизменной?
|
10 | Рабочее тело тепловой машины за один цикл получает от нагревателя количество теплоты 300 Дж, а отдаёт холодильнику количество теплоты 200 Дж. Какую работу совершает рабочее тело от нагревателя за пять циклов?
|
11 | В сосуде, объём которого можно изменять при помощи поршня, находится воздух с относительной влажностью 40%. Во сколько раз при неизменной температуре необходимо уменьшить объём сосуда, чтобы водяной пар стал насыщенным?
|
12 | Объём сосуда, содержащего 1 моль неона, уменьшили вдвое и добавили в сосуд 1 моль аргона. Температура в сосуде поддерживается постоянной. Выберите из предложенного списка два утверждения, которые верно отражают результаты этого опыта. 1) Концентрации атомов неона в 2 раза меньше, чем у аргона. 2) Парциальное давление неона увеличилось в 2 раза. 3) Внутренняя энергия неона уменьшилась. 4) Плотность газа в сосуде не изменилась. 5) Давление в сосуде увеличилось в 4 раза.
|
13 | На графиках А и Б приведены диаграммы p-V и V-T для процессов 1-2 и 3-4, проводимых с 1 моль неона. На диаграммах р — давление, V — объём и Т — абсолютная температура газа. Установите соответствие между графиками и утверждениями, характеризующими изображённые на графиках процессы.
|
14 | Силы электростатического взаимодействия между двумя неподвижными точечными заряженными телами равны по модулю 20 мН. Каким станет модуль этих сил, если заряд каждого тела увеличить в 3 раза?
|
15 | На сколько уменьшится сопротивление участка цепи АВ, изображённого на рисунке, если ключ К замкнуть? Сопротивление R=15 Ом.
|
16 | Какая из точек 1-4 является изображением точки S (см. рисунок), создаваемым тонкой собирающей линзой с фокусным расстоянием F?
|
17 | Проволочная рамка площадью 30 см2 помещена в однородное магнитное поле так, что плоскость рамки перпендикулярна вектору индукции Б. Величина индукции магнитного поля В изменяется во времени t согласно графику на рисунке.
Из приведённого ниже списка выберите два правильных утверждения о процессах, происходящих в рамке. 1) Магнитный поток через рамку в интервале времени от 1 до 3 мс равен 2 мВб. 2) Модуль ЭДС электромагнитной индукции в рамке в интервале времени от 3 до 4 мс равен 3 В. 3) Модуль ЭДС электромагнитной индукции в рамке минимален в интервале времени от 0 до 1 мс. 4) Скорость изменения магнитного потока через рамку максимальна в интервале времени от 0 до 1 мс. 5) Модуль ЭДС электромагнитной индукции в рамке максимален в интервале времени от 4 до 6 мс.
|
18 | Электрон движется по окружности в однородном магнитном поле. Как изменятся время одного оборота электрона и радиус окружности, по которой он движется, если увеличить его скорость? Для каждой величины определите соответствующий характер изменения: 1) увеличится 2) уменьшится 3) не изменится
|
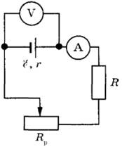
19 | Исследуется электрическая цепь, собранная по схеме, представленной на рисунке. Определите формулы, которые можно использовать для расчётов показаний амперметра и вольтметра. Измерительные приборы считать идеальными.
|
20 | Энергия фотона в первом пучке света в 2 раза меньше энергии фотона во втором пучке. Определите отношение v1/v2 частот излучения в первом и во втором пучках света.
|
21 | Как изменяются с уменьшением массового числа изотопов одного и того же химического элемента число нейтронов в ядре и число электронов в электронной оболочке соответствующего нейтрального атома? Для каждой величины определите соответствующий характер изменения: 1) увеличивается 2) уменьшается 3) не изменяется
|
22 | Определите показания вольтметра (см. рисунок), если погрешность прямого измерения напряжения равна цене деления вольтметра.
|
23 | Школьник изучает свободные колебания нитяного маятника. В его распоряжении имеется пять маятников, характеристики которых указаны в таблице. Какие два маятника необходимо взять школьнику для того, чтобы на опыте выяснить, зависит ли период свободных колебаний маятника от длины маятника? Шарики сплошные.
|
24 | Многовитковая катушка медного провода подключена к источнику тока через реостат. Вблизи торца катушки на шёлковых нитях подвешено замкнутое медное кольцо с малым сопротивлением. Ось кольца совпадает с осью катушки (см. рисунок). Опишите, как начнёт двигаться кольцо (притянется, оттолкнётся или останется неподвижным относительно катушки), если движок реостата резко сдвинуть вверх в крайнее положение. Ответ поясните, указав, какие физические явления и закономерности Вы использовали для объяснения.
|
25 | Брусок массой m = 2 кг движется поступательно по горизонтальной плоскости под действием постоянной силы, направленной под углом α = 30° к горизонту (см. рисунок). Коэффициент трения между бруском и плоскостью μ = 0,2. Модуль силы трения, действующей на брусок, Fтр = 2,8 Н. Чему равен модуль силы F?
|
26 | Предмет находится на расстоянии 25 см от тонкой собирающей линзы с оптической силой 5 дптр. На каком расстоянии от линзы находится изображение предмета?
|
27 | В стакан с водой, нагретой до температуры t1 = 50 °С, положили металлический шарик, имеющий температуру t2 = 10 °С. После установления теплового равновесия температура воды стала t3 = 40 °С. Определите температуру воды t4 после того, как в стакан положили ещё один такой же шарик температурой t2 (первый шарик остался в стакане). Теплообменом с окружающей средой пренебречь.
|
28 | Источник тока, два резистора и ключ включены в цепь, как показано на рисунке. При замкнутом ключе на резисторе R1 выделяется мощность P1 = 27 Вт. Если ключ К разомкнуть, то на резисторе R1 будет выделяться мощность P1 = 3 Вт. Какая мощность будет выделяться на резисторе R2 после размыкания ключа? Внутренним сопротивлением источника пренебречь.
|
29 | Фотоэлектроны, выбитые монохроматическим светом из металла с работой выхода Авых = 1,89 эВ, попадают в однородное электрическое поле Е = 100 В/м. Какова частота света v, если длина тормозного пути у фотоэлектронов, чья начальная скорость максимальна и направлена вдоль линий напряжённости поля, составляет d = 8,7 мм?
|
30 | Шарик падает с высоты Н = 3 м над поверхностью Земли из состояния покоя. На высоте h = 2 м он абсолютно упруго ударяется о доску, расположенную под углом α = 30° к горизонту (см. рисунок). На какую максимальную высоту h1 после этого удара поднимется шарик от поверхности Земли? Сопротивлением воздуха пренебречь.
|
| Авторизация через | ![]() |
Сборник предназначен для самостоятельной подготовки к выпускным экзаменам. Благодаря тестовым заданиям из открытого банка заданий, вы можете проверить свои знания и определить, насколько подготовлены к соответствующим экзаменам. Также этот сборник будет полезен учителям, которые могут использовать его для контроля результатов освоения школьниками образовательных программ основного общего образования и интенсивной подготовки учащихся.
При выполнении заданий на экзаменах можно пользоваться черновиком. Записи в черновике не учитываются при оценивании работы. Баллы, полученные Вами за выполненные задания, суммируются. Постарайтесь выполнить как можно больше заданий и набрать наибольшее количество баллов.
Желаем успехов при сдаче экзаменов!
| < Предыдущий | Следующий > |