ЕГЭ и ОГЭ
Главная

Решение 2454. Электрическая цепь, изображённая на рисунке, подключена к аккумулятору с напряжением U0 и пренебрежимо малым внутренним сопротивлением. Показания идеальных амперметра и вольтметра равны соответственно

Задание 19. Электрическая цепь, изображённая на рисунке, подключена к аккумулятору с напряжением U0 и пренебрежимо малым внутренним сопротивлением. Показания идеальных амперметра и вольтметра равны соответственно I и U. Установите соответствие между физическими величинами и формулами, по которым их можно рассчитать.

ФИЗИЧЕСКИЕ ВЕЛИЧИНЫ

А) мощность, потребляемая лампой

Б) сопротивление резистора

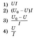
ФОРМУЛЫ

Решение.

А) Мощность, потребляемая лампой, можно найти по формуле:

,

где I – ток, протекающий через лампу (показания амперметра); U – напряжение на лампе (показания вольтметра).

Б) Сопротивление на резисторе можно найти по формуле Ома:

где  - падение напряжения на резисторе; I – сила тока в цепи (показания амперметра). Получаем величину сопротивления:

 Ом

Ответ: 13


Другие задания:

Темы раздела

Для наших пользователей доступны следующие материалы: