| < Предыдущий | Следующий > |
1 | Выберите все верные утверждения о физических явлениях, величинах и закономерностях. Запишите цифры, под которыми они указаны. 1) Энергия упруго деформированной пружины прямо пропорциональна её удлинению. 2) Звуковые волны способны распространяться в воздухе и в вакууме. 3) Теплопередача путём теплопроводности происходит за счёт переноса вещества в струях и потоках. 4) Явления интерференции и дифракции могут наблюдаться в любом диапазоне электромагнитных волн. 5) Радиоактивное излучение, открытое А. Беккерелем, расщепляется на компоненты и в электрическом, и в магнитном полях.
|
2 | Даны следующие зависимости величин: A) зависимость периода свободных колебаний пружинного маятника с жёсткостью пружины k от массы груза Б) зависимость электроёмкости плоского конденсатора с расстоянием d между пластинами от площади пластин B) зависимость импульса фотона от частоты Установите соответствие между этими зависимостями и видами графиков, обозначенных цифрами 1-5. Цифры в ответе могут повторяться.
|
3 | На штативе закреплён школьный динамометр. К нему подвесили груз массой 0,1 кг. Пружина динамометра при этом удлинилась на 2,5 см. Чему будет равно удлинение пружины, если масса груза увеличится втрое?
|
4 | Шарик массой 100 г падает с высоты 100 м с начальной скоростью, равной нулю. Чему равна его кинетическая энергия в момент перед падением на землю, если потеря энергии за счёт сопротивления воздуха составила 20 Дж?
|
5 | Период вертикальных свободных колебаний пружинного маятника равен 0,5 с. Каким станет период свободных колебаний этого маятника, если массу груза маятника уменьшить в 2 раза, а жёсткость пружины вдвое увеличить?
|
6 | Деревянный брусок массой m1=1000 г покоится на гладкой горизонтальной поверхности. На него налетает пластилиновый шарик массой m2 = 200 г, скользящий по поверхности со скоростью 3 м/с. В результате тела слипаются и движутся как единое целое. Выберите два верных утверждения о результатах этого опыта. 1) Скорость тел после соударения равна 0,5 м/с. 2) В результате соударения выделилось количество теплоты, равное 0,75 Дж. 3) Кинетическая энергия деревянного бруска после соударения равна 0,25 Дж. 4) Суммарный импульс тел после удара равен 3 кг∙м/с. 5) Общая кинетическая энергия системы тел «брусок + шарик» при ударе не изменилась.
|
7 | В первой серии опытов брусок с грузом перемещали при помощи нити равномерно и прямолинейно вверх по наклонной плоскости. Во второй серии опытов точно так же перемещали этот брусок, закрепив на нём ещё один груз. Как изменились при переходе от первой серии опытов ко второй коэффициент трения между бруском и плоскостью и сила трения скольжения между бруском и плоскостью? Для каждой величины определите соответствующий характер её изменения: 1) увеличилась 2) уменьшилась 3) не изменилась
|
8 | Тело движется вдоль оси Ох, при этом его координата изменяется с течением времени в соответствии с формулой x(t) = -6 + 4t – 3t^2 (все величины выражены в СИ). Установите соответствие между графиками и физическими величинами, зависимости которых от времени эти графики могут представлять.
|
9 | В сосуде неизменного объёма находится разреженный газ в количестве 3 моль. Во сколько раз изменится давление газа в сосуде, если выпустить из него 2 моль газа, а абсолютную температуру газа увеличить в 6 раз?
|
10 | На рисунке показан циклический процесс изменения состояния постоянной массы одноатомного идеального газа. На каком участке работа внешних сил над газом положительна и равна отданному газом количеству теплоты?
|
11 | Концентрация молекул воды в воздухе увеличилась в 2 раза при неизменной температуре. Во сколько раз увеличилась относительная влажность воздуха?
|
12 | При переводе идеального газа из состояния 1 в состояние 2 концентрация молекул n пропорциональна давлению p (см. рисунок). Масса газа в процессе остаётся постоянной.
Из приведённого ниже списка выберите два правильных утверждения, характеризующих процесс 1-2. 1) Абсолютная температура газа уменьшается. 2) Плотность газа остаётся неизменной. 3) Происходит изотермическое расширение газа. 4) Среднеквадратичная скорость теплового движения молекул газа остаётся неизменной. 5) Средняя кинетическая энергия теплового движения молекул газа увеличивается.
|
13 | Установите соответствие между графиками процессов, в которых участвует 1 моль одноатомного идеального газа, и физическими величинами (∆U — изменение внутренней энергии; А — работа газа), которые их характеризуют.
|
14 | Сила тока, текущего по проводнику, равна 2 А. За какое время по проводнику проходит заряд 50 Кл?
|
15 | При равномерном увеличении силы тока в катушке на 8 А за 0,04 с в ней возникает ЭДС самоиндукции, равная 50 В. Чему равна индуктивность катушки?
|
16 | Луч света падает на плоское зеркало. Угол падения равен 10°. Определите угол между падающим и отражённым лучами.
|
17 | Для оценки заряда, накопленного воздушным конденсатором, можно использовать устройство, изображённое на рисунке: лёгкий шарик из оловянной фольги подвешен на изолирующей нити между двумя пластинами конденсатора, при этом одна из пластин заземлена, а другая заряжена положительно. Когда устройство собрано, а конденсатор заряжен (и отсоединён от источника), шарик приходит в колебательное движение, касаясь поочерёдно обеих пластин.
Выберите два верных утверждения, соответствующих колебательному движению шарика после первого касания пластины. 1) По мере колебаний шарика напряжение между пластинами конденсатора увеличивается. 2) При движении шарика к заземлённой пластине он заряжен положительно, а при движении к положительно заряженной пластине — отрицательно. 3) При движении шарика к положительно заряженной пластине его заряд равен нулю, а при движении к заземлённой пластине — положителен. 4) При движении шарика к заземлённой пластине он заряжен отрицательно, а при движении к положительно заряженной пластине — положительно. 5) По мере колебаний шарика электрическая ёмкость конденсатора остаётся неизменной.
|
18 | Частица массой m, несущая заряд q, движется в однородном магнитном поле с индукцией B по окружности радиусом R со скоростью v. Как изменятся радиус орбиты и сила Лоренца, действующая на частицу, если её скорость уменьшится? Для каждой величины определите соответствующий характер изменения: 1) увеличится 2) уменьшится 3) не изменится
|
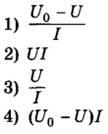
19 | Электрическая цепь, схема которой изображена на рисунке, подключена к аккумулятору. Напряжение между полюсами аккумулятора равно U0, а показания идеальных амперметра и вольтметра равны соответственно I и U.
Установите соответствие между физическими величинами и формулами, по которым их можно рассчитать. Внутренним сопротивлением аккумулятора пренебречь.
|
20 | Дан график зависимости числа нераспавшихся ядер иридия
|
21 | Интенсивность монохроматического светового пучка, освещающего фотокатод, плавно увеличивают, не меняя частоты света. Как изменяются при этом количество фотонов, падающих на поверхность фотокатода в единицу времени, и скорость каждого фотона? Для каждой величины определите соответствующий характер изменения: 1) увеличивается 2) уменьшается 3) не меняется
|
22 | При помощи динамометра определяют вес металлической детали. Определите показание динамометра, если погрешность прямого измерения равна половине цены деления динамометра. Шкала проградуирована в Н.
|
23 | Необходимо экспериментально изучить зависимость заряда, накопленного конденсатором, от внутреннего сопротивления аккумулятора. Какие две схемы следует использовать для проведения такого исследования?
|
24 | На железном стержне намотаны две катушки изолированного медного провода А и Б. Катушка А подключена к источнику с ЭДС E и внутренним сопротивлением r, как показано на рисунке. Катушка Б замкнута на амперметр малого сопротивления. Ползунок реостата передвигают влево. В каком направлении протекает при этом ток через амперметр, подключённый к катушке Б? Ответ обоснуйте, указав, какие явления и закономерности Вы использовали для объяснения.
|
25 | Груз массой 1 кг, находящийся на столе, связан лёгкой нерастяжимой нитью, переброшенной через идеальный блок, с другим грузом. На первый груз действует горизонтальная постоянная сила F, равная по модулю 10 Н (см. рисунок). Второй груз движется из состояния покоя с ускорением 2 м/с2, направленным вверх. Коэффициент трения скольжения первого груза по поверхности стола равен 0,2. Чему равна масса второго груза?
|
26 | Лазер излучает в импульсе
|
27 | В теплоизолированный сосуд, в котором находится 1 кг льда при температуре -20 °С, налили 0,2 кг воды при температуре 10 °С. Определите массу льда в сосуде после установления теплового равновесия. Теплоёмкостью сосуда и потерями тепла пренебречь.
|
28 | Частица, имеющая заряд
|
29 | В плоскости, параллельной плоскости тонкой собирающей линзы, по окружности радиуса r = 8 см движется точечный источник света с частотой v = 30 об/мин. Расстояние между плоскостями d = 15 см. Центр окружности находится на главной оптической оси линзы. Фокусное расстояние линзы F = 10 см. Найдите скорость движения изображения точечного источника света. Сделайте пояснительный чертёж, указав ход лучей в линзе.
|
30 | Маленький шарик массой m = 0,5 кг подвешен на лёгкой нерастяжимой нити длиной l = 0,8 м, которая разрывается при силе натяжения T0 = 8,6 Н. Шарик отведён от положения равновесия (оно показано на рисунке пунктиром) и отпущен. Когда шарик проходит положение равновесия, нить обрывается, и шарик тут же абсолютно неупруго сталкивается с бруском, лежащим неподвижно на гладкой горизонтальной поверхности стола. Скорость бруска после удара u = 0,4 м/с. Какова масса M бруска? Считать, что брусок после удара движется поступательно.
|
| Авторизация через | ![]() |
Сборник предназначен для самостоятельной подготовки к выпускным экзаменам. Благодаря тестовым заданиям из открытого банка заданий, вы можете проверить свои знания и определить, насколько подготовлены к соответствующим экзаменам. Также этот сборник будет полезен учителям, которые могут использовать его для контроля результатов освоения школьниками образовательных программ основного общего образования и интенсивной подготовки учащихся.
При выполнении заданий на экзаменах можно пользоваться черновиком. Записи в черновике не учитываются при оценивании работы. Баллы, полученные Вами за выполненные задания, суммируются. Постарайтесь выполнить как можно больше заданий и набрать наибольшее количество баллов.
Желаем успехов при сдаче экзаменов!
| < Предыдущий | Следующий > |