| < Предыдущий | Следующий > |
1 | Выберите все верные утверждения о физических явлениях, величинах и закономерностях. Запишите цифры, под которыми они указаны. 1) Скорость тела относительно неподвижной системы отсчёта равна геометрической сумме скорости тела относительно подвижной системы отсчёта и скорости подвижной системы относительно неподвижной. 2) Пар над поверхностью жидкости является насыщенным, если за одно и то же время с поверхности жидкости в среднем вылетает меньшее число молекул, чем число молекул, возвращающихся обратно в жидкость. 3) Сила Лоренца не действует на заряженные частицы, движущиеся параллельно линиям индукции однородного магнитного поля. 4) Инфракрасное, ультрафиолетовое и видимое излучения — излучения электромагнитной природы, различающиеся скоростью распространения в вакууме. 5) Масса покоя ядра всегда больше массы покоя слагающих его протонов и нейтронов.
|
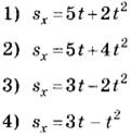
2 | Даны следующие зависимости величин: A) зависимость центростремительного ускорения точки, находящейся на расстоянии R от центра вращения, от линейной скорости точки Б) зависимость давления постоянной массы идеального газа от абсолютной температуры в изохорном процессе B) зависимость периода свободных электромагнитных колебаний в контуре, содержащем конденсатор электроёмкостью С, от индуктивности катушки Установите соответствие между этими зависимостями и видами графиков, обозначенных цифрами 1-5. Цифры в ответе могут повторяться.
|
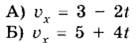
3 | На рисунке приведён график зависимости проекции скорости тела vx от времени t.
Определите путь, пройденный телом в интервале времени от 12 до 18 с.
|
4 | Автомобиль с выключенным двигателем сняли со стояночного тормоза, и он покатился под уклон, составляющий угол 30° с горизонтом. В начале горизонтального участка дороги, который следует за спуском, его скорость составляет 10 м/с. Какое расстояние автомобиль проезжает по склону? Трением пренебречь.
|
5 | Сосновый брусок имеет размеры 2x3x4 см. Определите архимедову силу, действующую на брусок при его полном погружении в воду.
|
6 | Два одинаковых вертикальных сообщающихся цилиндрических сосуда заполнены водой и закрыты поршнями массами M1 = 1 кг и M2 = 2 кг. Когда система находится в равновесии, правый поршень с площадью основания 100 см2 расположен ниже левого на величину h = 10 см.
Выберите из предложенного перечня два верных утверждения. 1) Взаимное расположение поршней при заданных массах зависит от плотности материала, из которого они изготовлены. 2) Если на левый поршень поместить груз массой m = 2 кг, поршни будут находиться на одном уровне. 3) Если на левый поршень поместить груз массой m = 0,5 кг, разность уровней между левым и правым поршнями составит 5 см. 4) Если массу правого поршня увеличить на 1 кг, то он сдвинется на 5 см вниз. 5) Если вместо воды в сосуды налить керосин, то в состоянии равновесия правый поршень будет выше левого.
|
7 | Искусственный спутник Земли перешёл с одной круговой орбиты на другую. На новой орбите центростремительное ускорение спутника меньше, чем на прежней. Как изменились при этом потенциальная энергия спутника в поле тяжести Земли и его период обращения вокруг Земли? Для каждой величины определите соответствующий характер изменения: 1) увеличилась 2) уменьшилась 3) не изменилась
|
8 | Установите соответствие между зависимостью проекции скорости тела от времени и зависимостью проекции перемещения этого тела от времени для одного и того же движения.
|
9 | Цилиндрический сосуд разделён лёгким подвижным поршнем на две части. В одной части сосуда находится неон, в другой — гелий. Температуры газов одинаковы. Определите отношение концентрации молекул неона к концентрации молекул гелия.
|
10 | У идеального теплового двигателя Карно температура нагревателя равна 327 °С, а температура холодильника равна 27 °С. Определите КПД теплового двигателя.
|
11 | В котелок насыпали кусочки олова и поставили на электрическую плитку. В минуту плитка передаёт олову в среднем количество теплоты, равное 500 Дж. График изменения температуры олова с течением времени показан на рисунке. Какое количество теплоты потребовалось для плавления олова, доведённого до температуры плавления?
|
12 | В цилиндрическом сосуде, закрытом подвижным поршнем, находится водяной пар и капелька воды. С веществом в сосуде при постоянной температуре провели процесс a→b→c pV-диаграмма которого представлена на рисунке.
Из приведённого ниже списка выберите два правильных утверждения относительно этого процесса. 1) На участке b→c масса пара уменьшается. 2) На участке a→b к веществу в сосуде подводится положительное количество теплоты. 3) В точке с водяной пар является насыщенным. 4) На участке a→b внутренняя энергия капельки уменьшается. 5) На участке b→c внутренняя энергия пара остаётся неизменной.
|
13 | Температуру нагревателя тепловой машины Карно повысили, оставив температуру холодильника прежней. Количество теплоты, отданное газом холодильнику за цикл, не изменилось. Как изменились при этом КПД тепловой машины и работа газа за цикл? Для каждой величины определите соответствующий характер её изменения: 1) увеличилась 2) уменьшилась 3) не изменилась
|
14 | На плавком предохранителе счётчика электроэнергии указано: «15 А, 380 В». Какова максимальная суммарная мощность электрических приборов, которые можно одновременно включать в сеть, чтобы предохранитель не расплавился?
|
15 | Энергия магнитного поля катушки с током равна 0,64 Дж. Сила тока в катушке 2 А. Какова индуктивность катушки?
|
16 | Угол между зеркалом и отражённым от него лучом равен 20° (см. рисунок). Определите угол падения.
|
17 | На уединённой неподвижной проводящей сфере радиусом R находится положительный заряд Q. Сфера находится в вакууме. Напряжённость электростатического поля сферы в точке А равна 36 В/м. Все расстояния указаны на рисунке.
Выберите два верных утверждения, описывающих данную ситуацию. 1) Потенциал электростатического поля в точке С выше, чем в точке D: 2) Напряжённость электростатического поля в точке С Ес = 36 В/м. 3) Напряжённость электростатического поля в точке В Ев = 576 В/м. 4) Потенциал электростатического поля в точках B и C одинаков: 5) Потенциал электростатического поля в точках F и D одинаков:
|
18 | Небольшой предмет расположен на главной оптической оси тонкой собирающей линзы на тройном фокусном расстоянии от неё. Его начинают приближать к фокусу линзы. Как меняются при этом расстояние от линзы до изображения предмета и оптическая сила линзы? Для каждой величины определите соответствующий характер изменения: 1) увеличивается 2) уменьшается 3) не изменяется
|
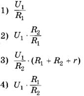
19 | Два резистора с сопротивлениями R1 и R2 подключены к источнику тока с внутренним сопротивлением r (см. рисунок). Напряжение на первом резисторе равно U1. Чему равны напряжение на втором резисторе и сила тока в цепи?
Установите соответствие между физическими величинами и формулами, по которым их можно рассчитать.
|
20 | Закон радиоактивного распада ядер некоторого изотопа имеет вид
|
21 | При исследовании зависимости кинетической энергии фотоэлектронов от длины волны падающего света фотоэлемент освещался через различные светофильтры. В первой серии опытов использовался светофильтр, пропускающий только синий свет, а во второй — только жёлтый свет. В каждом опыте наблюдали явление фотоэффекта и измеряли запирающее напряжение. Как изменяются длина падающей световой волны и модуль запирающего напряжения при переходе от первой серии опытов ко второй? Для каждой величины определите соответствующий характер её изменения: 1) увеличивается 2) уменьшается 3) не изменяется
|
22 | Погрешность прямого измерения силы динамометром, на котором висит груз, равна цене деления. Каков вес груза?
|
23 | Различные проволоки изготовлены из разного материала. Какие две проволоки нужно выбрать, чтобы на опыте проверить зависимость сопротивления проволоки от площади её поперечного сечения?
|
24 | Один моль гелия участвует в циклическом процессе 1-2-3-4-1, график которого изображён на рисунке в координатах р-Т, где р — давление газа, Т — абсолютная температура. Опираясь на законы молекулярной физики и термодинамики, сравните работу газа в процессе 2-3 и модуль работы внешних сил в процессе 4-1. Постройте график цикла в координатах p-V, где р — давление газа, V — объём газа.
|
25 | Груз массой удерживают с помощью рычага, приложив к его концу вертикально направленную силу величиной 300 Н (см. рисунок). Рычаг состоит из шарнира без трения и длинного однородного стержня массой 30 кг и длиной 4 м. Расстояние от оси шарнира до точки подвеса груза равно 1 м. Определите массу груза.
|
26 | Сколько фотонов падает на сетчатку глаза человека за 3 с, если мощность поглощённого сетчаткой света равна
|
27 | В сосуде объёмом V = 0,02 м3 с жёсткими стенками находится одноатомный газ при атмосферном давлении. В крышке сосуда имеется отверстие площадью
|
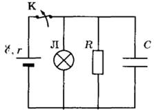
28 | К аккумулятору с ЭДС E = 50 В и внутренним сопротивлением r = 4 Ом подключили лампу сопротивлением Rл = 10 Ом и резистор сопротивлением R = 15 Ом, а также конденсатор ёмкостью С = 100 мкФ (см. рисунок). Спустя длительный промежуток времени ключ К размыкают. Какое количество теплоты выделится после этого на резисторе?
|
29 | Точечный источник света движется со скоростью v = 5 м/с по окружности вокруг главной оптической оси тонкой собирающей линзы в плоскости, параллельной плоскости линзы на расстоянии d = 15 см от линзы. Скорость движения действительного изображения точечного источника света V = 10 м/с. Найдите фокусное расстояние линзы F.
|
30 | Свинцовый шар подвешен на нити и полностью погружен в воду (см. рисунок). Нить образует с вертикалью угол α = 30°. Модуль силы, с которой нить действует на шар, Т = 30 Н. Плотность свинца ρ = 11300 кг/м3. Чему равна масса шара? Трением шара о стенку пренебречь. Сделайте схематический рисунок с указанием сил, действующих на шар. Обоснуйте применимость используемых законов к решению задачи.
|
| Авторизация через | ![]() |
Сборник предназначен для самостоятельной подготовки к выпускным экзаменам. Благодаря тестовым заданиям из открытого банка заданий, вы можете проверить свои знания и определить, насколько подготовлены к соответствующим экзаменам. Также этот сборник будет полезен учителям, которые могут использовать его для контроля результатов освоения школьниками образовательных программ основного общего образования и интенсивной подготовки учащихся.
При выполнении заданий на экзаменах можно пользоваться черновиком. Записи в черновике не учитываются при оценивании работы. Баллы, полученные Вами за выполненные задания, суммируются. Постарайтесь выполнить как можно больше заданий и набрать наибольшее количество баллов.
Желаем успехов при сдаче экзаменов!
| < Предыдущий | Следующий > |