| < Предыдущий | Следующий > |
1 | Выберите все верные утверждения о физических явлениях, величинах и закономерностях. Запишите цифры, под которыми они указаны. 1) При прямолинейном движении вектор ускорения всегда направлен в ту же сторону, что и вектор перемещения. 2) Хаотическое тепловое движение частиц тела прекращается при достижении термодинамического равновесия. 3) В цепи постоянного тока на всех параллельно соединённых резисторах напряжение одинаково. 4) Электромагнитные волны видимого света имеют большую длину волны, чем рентгеновское излучение. 5) Атомы изотопов одного элемента различаются числом протонов в ядре и занимают одну и ту же клеточку в Периодической таблице Д. И. Менделеева.
|
2 | Даны следующие зависимости величин: A) зависимость пути, пройденного телом при равномерном движении, от времени Б) зависимость объёма постоянной массы идеального газа от абсолютной температуры в изотермическом процессе B) зависимость энергии магнитного поля катушки индуктивностью L от силы тока в катушке Установите соответствие между этими зависимостями и видами графиков, обозначенных цифрами 1-5. Цифры в ответе могут повторяться.
|
3 | Подвешенная к потолку пружина под действием силы 5 Н удлинилась на 10 см. Чему равно удлинение этой пружины под действием силы 8 Н?
|
4 | При упругой деформации 3 см стальная пружина имеет потенциальную энергию 1,8 Дж. Какой станет потенциальная энергия этой пружины при уменьшении деформации на 1 см?
|
5 | Колеблющаяся струна издаёт звук с длиной волны 0,17 м. Какова частота её колебаний, если скорость звука в воздухе 340 м/с?
|
6 | Брусок массой 0,5 кг покоится на шероховатой горизонтальной плоскости. На него начинают действовать горизонтальной силой F, модуль которой изменяется с течением времени так, как показано на рисунке. Коэффициент трения бруска о плоскость равен 0,2.
Выберите из предложенного перечня два утверждения, которые соответствуют результатам проведённого опыта. 1) В промежутке от 1 с до 2 с брусок покоился. 2) В момент времени 1,5 с сила трения, действующая на брусок, равна 1,5 Н. 3) Кинетическая энергия бруска в момент времени 1 с равна 0. 4) В момент времени 5 с ускорение бруска равно 2 м/с2. 5) В промежутке от 2 с до 4 с импульс бруска увеличился на 1 кг м/с.
|
7 | На поверхности воды плавает брусок из древесины плотностью 500 кг/м3. Брусок заменили на другой брусок той же массы и с той же площадью основания, но из древесины плотностью 700 кг/м3. Как при этом изменились глубина погружения бруска и действующая на него сила Архимеда? Для каждой величины определите соответствующий характер изменения: 1) увеличилась 2) уменьшилась 3) не изменилась
|
8 | На рисунке показан график зависимости координаты x тела, движущегося вдоль оси Ох, от времени t (парабола). Графики А и Б представляют собой зависимости физических величин, характеризующих движение этого тела, от времени t.
Установите соответствие между графиками и физическими величинами, зависимости которых от времени эти графики могут представлять.
|
9 | Температура аргона уменьшилась с 227 °С до -23 °С. Во сколько раз уменьшилась средняя кинетическая энергия теплового движения его молекул?
|
10 | На рисунке показан график изменения состояния постоянной массы одноатомного идеального газа. В этом процессе газ отдал количество теплоты, равное 3,6 кДж. Насколько в результате этого уменьшилась его внутренняя энергия?
|
11 | На сколько градусов нагреется медная деталь массой 100 г, если ей сообщить количество теплоты, равное 760 Дж?
|
12 | На pV-диаграмме показаны два процесса, проведённые с одним и тем же количеством газообразного неона.
Из приведённого ниже списка выберите два правильных утверждения, характеризующих процессы на графике. 1) В процессе 2 абсолютная температура неона изобарно уменьшилась в 2 раза. 2) В процессе 1 плотность неона уменьшилась в 5 раз. 3) В процессе 1 неон изобарно увеличил свой объём в 4 раза. 4) В процессе 2 концентрация молекул неона увеличилась в 2 раза. 5) Работа, совершённая неоном в процессе 1, равна работе в процессе 2.
|
13 | В неглубоком сосуде наблюдают установившийся процесс кипения воды, при этом со дна сосуда к поверхности поднимается газовый пузырёк. Как изменяется при подъёме внутренняя энергия водяного пара в пузырьке и его температура? Для каждой величины определите соответствующий характер изменения: 1) увеличивается 2) уменьшается 3) не изменяется
|
14 | По проводнику течёт постоянный электрический ток. Величина заряда, проходящего через проводник, возрастает с течением времени согласно графику. Определите силу тока в проводнике.
|
15 | На плавком предохранителе сети напряжением 380 В указано: «10 А». Какова максимальная суммарная мощность электрических приборов, которые можно одновременно включить в эту сеть, чтобы предохранитель не расплавился?
|
16 | Колебательный контур состоит из конденсатора ёмкостью C и катушки индуктивностью L. Во сколько раз увеличится период собственных электромагнитных колебаний в контуре, если его индуктивность увеличить в 10 раз, а ёмкость уменьшить в 2,5 раза?
|
17 | По гладким параллельным горизонтальным проводящим рельсам, замкнутым на лампочку накаливания, перемещают лёгкий тонкий проводник, прикладывая к нему горизонтальную силу F. Контур находится в однородном магнитном поле с индукцией B (см. рис. а). При движении проводника площадь контура изменяется так, как указано на рис. б.
Выберите два верных утверждения, соответствующие приведённым данным и описанию опыта. 1) Индукционный ток течёт в контуре всё время в одном направлении. 2) В интервале времени от 30 с до 40 с через лампочку течёт ток. 3) Поскольку рельсы гладкие, при равномерном движении проводника F = 0. 4) Максимальная ЭДС наводится в контуре в интервале времени от 20 с до 30 с. 5) Сила, прикладываемая к проводнику для его перемещения, в первые 10 с максимальна.
|
18 | Протоны в однородном магнитном поле между полюсами магнита движутся по окружностям радиусом R под действием силы Лоренца. После замены магнита по окружностям с тем же радиусом между полюсами стали двигаться α-частицы, обладающие такой же кинетической энергией, как и протоны. Как изменились индукция магнитного поля и скорость движения α-частиц по сравнению со скоростью протонов? 1) увеличилась 2) уменьшилась 3) не изменилась
|
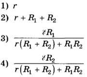
19 | Исследуется электрическая цепь, собранная по схеме, представленной на рисунке.
Определите формулы, которые можно использовать для расчётов физических величин, характеризующих протекание тока в этой цепи. Параметры элементов цепи указаны на рисунке.
|
20 | В свинцовую капсулу поместили радиоактивный йод
|
21 | Установите соответствие между видами радиоактивного распада и уравнениями, описывающими этот процесс.
|
22 | С помощью барометра проводились измерения атмосферного давления. Верхняя шкала барометра проградуирована в килопаскалях, а нижняя шкала — в миллиметрах ртутного столба (см. рисунок). Погрешность измерений давления равна цене деления шкалы барометра. Чему равно атмосферное давление в килопаскалях по результатам этих измерений?
|
23 | Необходимо собрать экспериментальную установку и определить с её помощью внутреннее сопротивление аккумуляторной батареи. Для этого школьник взял аккумулятор, ключ, вольтметр и реостат. Какие два предмета из приведённого ниже перечня оборудования необходимо дополнительно использовать для проведения этого эксперимента? 1) лампа накаливания 2) конденсатор 3) соединительные провода 4) амперметр 5) секундомер
|
24 | Три параллельных длинных, прямых проводника 1, 2 и 3 перпендикулярны плоскости рисунка и пересекают её в вершинах равностороннего треугольника со стороной а. Токи в проводниках сонаправлены и равны I. Опираясь на законы электродинамики, определите направление вектора индукции результирующего магнитного поля в точке О — центре треугольника. Как изменится направление вектора индукции результирующего магнитного поля в точке О, если направление электрического тока в проводнике 3 изменить на противоположное?
|
25 | Два груза подвешены на достаточно длинной невесомой нерастяжимой нити, перекинутой через идеальный блок (см. рисунок). Грузы удерживали неподвижно, а затем осторожно отпустили, после чего они начали двигаться равноускоренно. Через t = 1 с после начала движения скорость правого груза (массой m = 1 кг) была направлена вертикально вверх и равна 4 м/с. Определите силу натяжения нити. Трением пренебречь.
|
26 | При облучении фотокатода светом частотой
|
27 | Шарик закреплён на конце стержня. Другой конец стержня неподвижно прикреплён к горизонтальной оси, которая равномерно вращается с периодом вращения х = 0,2 с. В результате шарик движется в вертикальной плоскости по окружности радиусом l = 20 см. Разность модулей сил, с которыми стержень действует на шарик в нижней и в верхней точках траектории, равна ΔT = 0,4 Н. Определите силу T1, с которой стержень действует на шарик в нижней точке траектории. Сделайте рисунки с указанием сил, действующих на шарик в верхней и нижней точках траектории.
|
28 | На рисунке показана схема электрической цепи, состоящей из источника тока с ЭДС E = 12 В и внутренним сопротивлением r = 1 Ом, двух резисторов с сопротивлениями R1 = 8 Ом и R2 = 3 Ом, конденсатора электроёмкостью С = 4 мкФ и катушки с индуктивностью L = 24 мкГн. В начальном состоянии ключ К длительное время замкнут. Какое количество теплоты выделится на резисторе R2 после размыкания ключа К? Сопротивлением катушки пренебречь.
|
29 | Тонкая собирающая линза с оптической силой D = 10 дптр находится между двумя точечными источниками света на расстоянии d от первого из них и на расстоянии х = 7,5 см от второго. Источники расположены на главной оптической оси. Найдите, на каком расстоянии d от линзы находится первый источник, если их изображения получились в одной и той же точке.
|
30 | В вертикальном цилиндре, закрытом лёгким поршнем, находится ацетон (
|
| Авторизация через | ![]() |
Сборник предназначен для самостоятельной подготовки к выпускным экзаменам. Благодаря тестовым заданиям из открытого банка заданий, вы можете проверить свои знания и определить, насколько подготовлены к соответствующим экзаменам. Также этот сборник будет полезен учителям, которые могут использовать его для контроля результатов освоения школьниками образовательных программ основного общего образования и интенсивной подготовки учащихся.
При выполнении заданий на экзаменах можно пользоваться черновиком. Записи в черновике не учитываются при оценивании работы. Баллы, полученные Вами за выполненные задания, суммируются. Постарайтесь выполнить как можно больше заданий и набрать наибольшее количество баллов.
Желаем успехов при сдаче экзаменов!
| < Предыдущий | Следующий > |