| < Предыдущий | Следующий > |
1 | Выберите все верные утверждения о физических явлениях, величинах и закономерностях. Запишите цифры, под которыми они указаны. 1) Работа силы, приложенной к телу, прямо пропорциональна модулю перемещения тела. 2) Процесс диффузии может наблюдаться только в газах и в жидкостях. 3) При коротком замыкании внешней цепи идеальный амперметр, включённый в цепь, показывает силу тока, равную нулю. 4) В замкнутом проводящем контуре при изменении магнитного потока через ограниченную им площадку возникает индукционный ток. 5) Максимальная кинетическая энергия фотоэлектрона равна энергии кванта света, выбившего его с поверхности фотокатода.
|
2 | Даны следующие зависимости величин: A) зависимость пути, пройденного равноускоренно движущимся телом, от времени движения при начальной скорости тела, равной нулю Б) зависимость модуля силы Лоренца, действующей на частицу зарядом q в однородном магнитном поле с индукцией В, от скорости частицы B) зависимость энергии фотона от импульса фотона
Установите соответствие между этими зависимостями и видами графиков, обозначенных цифрами 1-5. Цифры в ответе могут повторяться.
|
3 | К пружине школьного динамометра подвесили груз массой 0,1 кг. Пружина при этом упруго удлинилась на 2,5 см. Чему будет равно удлинение пружины, если массу груза увеличить втрое?
|
4 | У основания гладкой наклонной плоскости шайба массой 20 г обладает кинетической энергией, равной 0,16 Дж. Определите максимальную высоту, на которую шайба может подняться по наклонной плоскости относительно основания.
|
5 | Во сколько раз увеличится период малых свободных колебаний математического маятника, если длину нити увеличить в 4 раза, а массу груза уменьшить в 9 раз?
|
6 | В инерциальной системе отсчёта вдоль оси Ох движется тело массой 20 кг. На рисунке приведён график зависимости проекции vx скорости этого тела от времени t.
Из приведённого ниже списка выберите все верные утверждения о движении тела. 1) За промежуток времени от 80 до 100 с тело переместилось на 30 м. 2) За промежуток времени от 60 до 80 с импульс тела увеличился на 40 кг ∙ м/с. 3) Кинетическая энергия тела в промежутке времени от 10 до 20 с увеличилась в 4 раза. 4) В момент времени 90 с модуль равнодействующей сил, действующих на тело, равен 1,5 Н. 5) Модуль ускорения тела в промежутке времени от 60 до 80 с в 3 раза меньше модуля ускорения тела в промежутке времени от 80 до 100 с.
|
7 | В первом опыте на поверхности керосина плавает деревянный брусок, частично погружённый в жидкость. Во втором опыте брусок заменили на другой — той же плотности и массы, но меньшей высоты. Как изменятся сила Архимеда, действующая на брусок, и масса вытесненного керосина при переходе от первого опыта ко второму? Для каждой величины определите соответствующий характер изменения: 1) увеличится 2) уменьшится 3) не изменится
|
8 | Мячик бросают с начальной скоростью v0 под углом α к горизонту с балкона высотой h (см. рисунок). Графики А и Б представляют собой зависимости физических величин, характеризующих движение мячика в процессе полёта, от времени t. Установите соответствие между графиками и физическими величинами, зависимости которых от времени эти графики могут представлять. Сопротивлением воздуха пренебречь. Потенциальная энергия мячика отсчитывается от уровня у = 0.
|
9 | Концентрацию атомов аргона уменьшили в 6 раз. Средняя кинетическая энергия теплового движения атомов аргона при этом снизилась в 4 раза. Во сколько раз при этом уменьшилась абсолютная температура?
|
10 | На рисунке показаны различные процессы изменения состояния идеального газа. Масса газа постоянна. В каком из процессов (1, 2, 3 или 4) газ совершает наибольшую по модулю работу?
|
11 | На рисунке показан график изменения температуры t вещества по мере поглощения им количества теплоты Q. Масса вещества — 0,4 кг. Первоначально вещество было в жидком состоянии. Какова удельная теплота парообразования вещества?
|
12 | При переводе идеального газа из состояния 1 в состояние 2 концентрация молекул n пропорциональна давлению p (см. рисунок). Масса газа в процессе остаётся постоянной.
Из приведённого ниже списка выберите все верные утверждения, характеризующие процесс 1-2. 1) Средняя кинетическая энергия теплового движения молекул газа уменьшается. 2) Среднеквадратичная скорость теплового движения молекул газа увеличивается. 3) Происходит изотермическое расширение газа. 4) Абсолютная температура газа остаётся неизменной. 5) Плотность газа уменьшается.
|
13 | Одноатомный идеальный газ в количестве 0,05 моль, находящийся в сосуде под подвижным поршнем, изотермически расширяется при температуре 400 К. Масса газа в сосуде остаётся неизменной. Установите соответствие между физическими величинами, характеризующими газ, и формулами, выражающими их зависимость от давления p газа.
|
14 | Одинаковые положительные точечные заряды
|
15 | В однородном магнитном поле с индукцией 5 мТл перпендикулярно линиям индукции расположен прямолинейный проводник длиной 40 см. Ток какой силы следует пропустить по проводнику, чтобы на него со стороны магнитного поля начала действовать сила Ампера, равная 20 мН?
|
16 | В колебательном контуре (см. рисунок) напряжение между обкладками конденсатора меняется по закону
|
17 | Медные незаряженные кубики 1 и 2 и стеклянные незаряженные кубики 3 и 4 сблизили вплотную и поместили в электрическое поле, напряжённость которого направлена горизонтально вправо, как показано в левой части рисунка. Затем кубики раздвинули и уже после этого выключили электрическое поле (правая часть рисунка). Выберите все верные утверждения, описывающие данный процесс.
1) После разделения кубик 1 имеет положительный заряд. 2) В электрическом поле кубики 3 и 4 приобретают суммарный отрицательный заряд. 3) После разделения кубик 4 имеет положительный заряд. 4) При помещении стеклянных кубиков в электрическое поле наблюдается явление поляризации. 5) При помещении медных кубиков в электрическое поле наблюдается явление электростатической индукции.
|
18 | К концам отрезка медного провода приложено напряжение U. Провод заменили отрезком провода такого же поперечного сечения и такой же длины, изготовленного из материала с большим удельным сопротивлением, оставив прежнее напряжение U. Как изменились сопротивление проводника и тепловая мощность, выделяемая в новом проводнике? Для каждой величины определите соответствующий характер изменения: 1) увеличилась 2) уменьшилась 3) не изменилась
|
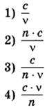
19 | Пучок монохроматического света переходит из воды в воздух. Частота световой волны — v; скорость света в воде — c; показатель преломления воды относительно воздуха — n. Установите соответствие между физическими величинами и формулами, по которым их можно рассчитать.
|
20 | Ядро протактиния
|
21 | На металлическую пластинку (катод) установки для исследования фотоэффекта направили пучок света от лазера, вызвав фотоэффект. Интенсивность лазерного излучения плавно увеличивают, не меняя его длины волны. Как изменятся в результате этого модуль запирающего напряжения и максимальная кинетическая энергия фотоэлектронов? Для каждой величины определите соответствующий характер её изменения: 1) увеличится 2) уменьшится 3) не изменится
|
22 | Определите силу тока в лампочке (см. рисунок), если погрешность прямого измерения силы тока равна цене деления амперметра.
|
23 | Необходимо собрать экспериментальную установку, с помощью которой можно определить жёсткость резинового жгута. Для этого школьник взял штатив с лапкой и динамометр. Какие два предмета из приведённого ниже перечня оборудования необходимо дополнительно использовать для проведения этого эксперимента? 1) секундомер 2) резиновый жгут 3) весы 4) пружина 5) линейка
|
24 | Три параллельных длинных прямых проводника 1, 2 и 3 расположены на одинаковом расстоянии а друг от друга (см. рисунки а и б). В каждом проводнике протекает электрический ток силой I. Токи в проводниках текут так, как показано на рисунке. Определите направление результирующей силы, действующей на проводник 1 со стороны проводников 2 и 3. Сделайте рисунок, указав в области проводника 1 векторы магнитной индукции полей, созданных проводниками 2 и 3, вектор магнитной индукции результирующего магнитного поля и вектор результирующей силы. Ответ поясните, опираясь на законы электродинамики.
|
25 | Два пластилиновых шарика с массами 3m и m, летящие по одной прямой навстречу друг другу с одинаковыми по модулю скоростями, при столкновении слипаются. Каким был модуль скорости каждого из шариков перед столкновением, если сразу после столкновения скорость шариков стала равной 0,5 м/с? Временем взаимодействия шариков пренебречь.
|
26 | На металлическую пластинку падает монохроматическое электромагнитное излучение, выбивающее электроны из пластинки. Работа выхода электронов из металла равна 6 эВ, а максимальная кинетическая энергия электронов, вылетевших из пластинки в результате фотоэффекта, в 3 раза меньше энергии падающих на пластинку фотонов. Чему равна частота падающего излучения?
|
27 | Сосуд разделён тонкой перегородкой на две части, отношение объёмов которых V2/V1 = 3. В первой части сосуда находится воздух с относительной влажностью ϕ1 = 80 %. Какой была влажность воздуха во второй части сосуда, если после того, как перегородку убрали, в сосуде установилась относительная влажность 50 % ? Считать, что температура воздуха в частях сосуда одинакова и не изменилась после снятия перегородки.
|
28 | Батарея ЭДС соединена с реостатом так, как показано на рисунке. Каково внутреннее сопротивление батареи, если при силе тока в цепи I1 = 1 А выделяемая на реостате мощность N1 = 4 Вт, а при силе тока I2 = 5 А выделяемая на реостате мощность N2 = 10 Вт?
|
29 | На двойном фокусном расстоянии от собирающей линзы с оптической силой 10 дптр на её главной оптической оси расположен точечный источник света. Линза вставлена в непрозрачную оправу радиусом 5 см. Каков диаметр светлого пятна на экране, расположенном за линзой на расстоянии 30 см от неё? Сделайте рисунок с указанием хода лучей.
|
30 | Пружинное ружьё наклонено под углом α = 30° к горизонту. Энергия сжатой пружины равна 0,25 Дж. При выстреле шарик проходит по стволу ружья расстояние b = 0,5 м, вылетает и падает на расстоянии L = 1 м от дула ружья в точке М, находящейся на одной высоте с дулом (см. рисунок). Найдите массу шарика m. Трением в стволе и сопротивлением воздуха пренебречь.
Какие законы вы использовали для описания движения шарика? Обоснуйте их применимость к данному случаю.
|
| Авторизация через | ![]() |
Сборник предназначен для самостоятельной подготовки к выпускным экзаменам. Благодаря тестовым заданиям из открытого банка заданий, вы можете проверить свои знания и определить, насколько подготовлены к соответствующим экзаменам. Также этот сборник будет полезен учителям, которые могут использовать его для контроля результатов освоения школьниками образовательных программ основного общего образования и интенсивной подготовки учащихся.
При выполнении заданий на экзаменах можно пользоваться черновиком. Записи в черновике не учитываются при оценивании работы. Баллы, полученные Вами за выполненные задания, суммируются. Постарайтесь выполнить как можно больше заданий и набрать наибольшее количество баллов.
Желаем успехов при сдаче экзаменов!
| < Предыдущий | Следующий > |