| < Предыдущий | Следующий > |
1 | Выберите все верные утверждения о физических явлениях, величинах и закономерностях. Запишите цифры, под которыми они указаны. 1) Тело, расстояние между любыми двумя точками которого остаётся неизменным, называется абсолютно твёрдым телом. 2) Теплопередача путём электромагнитного излучения возможна только в атмосфере Земли и не наблюдается в вакууме. 3) В процессе электризации трением два первоначально незаряженных тела приобретают разноимённые и различные по модулю заряды. 4) Магнитное поле индукционного тока в контуре всегда увеличивает магнитный поток, изменение которого привело к возникновению этого индукционного тока. 5) Через промежуток времени, равный периоду полураспада, нераспавшимися остаётся половина от большого числа изначально имевшихся радиоактивных ядер данного элемента.
|
2 | Даны следующие зависимости величин: A) зависимость модуля скорости свободно падающего тела от времени при начальной скорости тела, равной нулю Б) зависимость внутренней энергии одного моля идеального газа от его температуры B) зависимость энергии электрического поля конденсатора электроёмкостью С от напряжения между обкладками конденсатора Установите соответствие между этими зависимостями и видами графиков, обозначенных цифрами 1-5. Цифры в ответе могут повторяться.
|
3 | На рисунке приведён график зависимости проекции скорости тела от времени t.
Определите путь, пройденный телом в интервале времени от 15 до 19 с.
|
4 | Кинетическая энергия тела, движущегося со скоростью 3 м/с, равна 18 Дж. Какова масса тела?
|
5 | Груз массой 0,16 кг, подвешенный на пружине, совершает свободные вертикальные гармонические колебания. Груз какой массой нужно подвесить вместо первого груза, чтобы частота свободных колебаний уменьшилась в 2 раза?
|
6 | Два одинаковых бруска толщиной 5 см и массой 1 кг каждый, связанные друг с другом, плавают в воде так, что уровень воды приходится на границу между ними (см. рисунок). Из приведённого ниже списка выберите два правильных утверждения.
1) Если воду заменить на подсолнечное масло, то глубина погружения брусков уменьшится. 2) Если на верхний брусок поставить гирю массой 1,5 кг, то бруски не утонут. 3) Если в стопку добавить ещё три таких же бруска, то глубина её погружения увеличится на 15 см. 4) Сила Архимеда, действующая на бруски, равна 10 Н. 5) Плотность материала, из которого изготовлены бруски, равна 500 кг/м3.
|
7 | В первой серии опытов брусок с грузом перемещали при помощи нити равномерно и прямолинейно вверх по наклонной плоскости. Во второй серии опытов точно так же перемещали этот брусок, но сняв с него груз. Как изменились при переходе от первой серии опытов ко второй модуль работы силы трения при перемещении бруска на одинаковые расстояния и коэффициент трения между бруском и плоскостью? Для каждой величины определите соответствующий характер её изменения: 1) увеличилась 2) уменьшилась 3) не изменилась
|
8 | Маленькая шайба массы m, способная перемещаться вдоль гладкого стержня, находится на поверхности горизонтального диска, равномерно вращающегося с угловой скоростью ω1, на расстоянии r от оси O, с которой шайба соединена лёгкой недеформированной пружинкой жёсткости k (см. рисунок). Коэффициент трения между шайбой и диском — μ. Как только угловая скорость начинает медленно и плавно возрастать, шайба начинает смещаться. При угловой скорости ω2 расстояние до оси стало R, при этом диск стал вновь вращаться равномерно.
Установите соответствие между физическими величинами и формулами, по которым их можно рассчитать.
|
9 | В сосуде неизменного объёма находится идеальный газ. Во сколько раз нужно уменьшить количество вещества газа в сосуде, чтобы после увеличения абсолютной температуры газа в 2 раза его давление стало вдвое меньше начального?
|
10 | На рисунке показано, как менялось давление газа в зависимости от его объёма при переходе из состояния 1 в состояние 2, а затем в состояние 3. Каково отношение работ газа A12/A23 в этих двух процессах?
|
11 | Парциальное давление водяного пара в комнате равно 1584 Па. Давление насыщенного пара при температуре воздуха в комнате составляет 2640 Па. Определите относительную влажность воздуха в комнате.
|
12 | В сосуде под поршнем находятся только пары аммиака. Поршень медленно и равномерно опускают, уменьшая объём сосуда. Температура в сосуде поддерживается постоянной. На рисунке показан график изменения со временем t концентрации n молекул паров аммиака внутри сосуда. Из приведённого ниже списка выберите два правильных утверждения относительно описанного процесса.
1) На участке 2 плотность паров аммиака уменьшалась. 2) На участке 1 плотность паров аммиака уменьшалась. 3) На участке 2 давление паров аммиака увеличивалось. 4) На участке 1 пар аммиака ненасыщенный, а на участке 2 насыщенный. 5) На участке 1 давление паров аммиака увеличивалось.
|
13 | Тонкая, упругая и мягкая оболочка герметичного воздушного шара наполнена горячим воздухом. Как изменяется с набором высоты при медленном подъёме шара плотность воздуха в нём и внутренняя энергия воздуха в шаре? Оболочку считать теплопроводной. 1) увеличилась 2) уменьшилась 3) не изменилась
|
14 | Два неподвижных точечных заряда действуют друг на друга с силами, модуль которых равен F, Во сколько раз увеличится модуль этих сил, если один заряд уменьшить в 1,5 раза, другой заряд увеличить в 6 раз, а расстояние между ними оставить прежним?
|
15 | Пять одинаковых резисторов с сопротивлением 25 Ом каждый соединены в электрическую цепь, через которую течёт ток (см. рисунок). Идеальный вольтметр показывает напряжение 75 В. Определите силу тока в цепи I.
|
16 | В колебательном контуре (см. рисунок) индуктивность катушки L = 6 мГн. Какой должна быть индуктивность Lx второй катушки, чтобы при переводе ключа K из положения 1 в положение 2 период собственных электромагнитных колебаний в контуре увеличился в √6 раза?
|
17 | Плоский воздушный конденсатор ёмкостью C0, подключенный к источнику постоянного напряжения, состоит из двух металлических пластин находящихся на расстоянии d0 друг от друга. Расстояние между пластинами меняется со временем так, как показано на графике. Выберите два верных утверждения, соответствующих описанию опыта.
1) Емкость конденсатора убывает в интервале времени от t1 до t4. 2) Энергия конденсатора равномерно увеличивается в интервале времени от t1 до t4. 3) Напряжённость электрического поля между пластинами конденсатора уменьшается в промежутке времени от t1 до t4. 4) В момент времени t4 ёмкость конденсатора увеличилась в пять раз по сравнению с первоначальным. 5) Напряжённость электрического поля между пластинами конденсатора возрастает в промежутке времени от t1 до t4.
|
18 | Неразветвлённая электрическая цепь постоянного тока состоит из источника тока и подключённого к его выводам внешнего резистора. Как изменятся при уменьшении сопротивления резистора сила тока в цепи и ЭДС источника? Для каждой величины определите соответствующий характер изменения: 1) увеличится 2) уменьшится 3) не изменится
|
19 | Спираль лампочки расположена вблизи главной оптической оси тонкой рассеивающей линзы с фокусным расстоянием, равным по модулю F, перпендикулярно этой оси. Расстояние a от линзы до спирали меньше F. Затем рассеивающую линзу заменили на собирающую с фокусным расстоянием F. Установите соответствие между видом линзы, использовавшейся в опыте, и свойствами даваемого ею изображения.
|
20 | Модуль импульса фотона красного света в 2 раза меньше модуля импульса фотона фиолетового света. Найдите отношение длины волны фотона фиолетового цвета к длине волны фотона красного цвета.
|
21 | На рисунке изображена упрощённая диаграмма нижних энергетических уровней атома. Нумерованными стрелками отмечены некоторые возможные переходы атома между этими уровнями. Какой из этих четырёх переходов связан с поглощением света наименьшей частоты, а какой — с излучением света наибольшей частоты?
Установите соответствие между процессами поглощения и испускания света и стрелками, указывающими энергетические переходы атома.
|
22 | Определите показания амперметра (см. рисунок), если погрешность прямого измерения силы тока составляет половину цены деления амперметра.
|
23 | Необходимо экспериментально изучить зависимость заряда, накопленного конденсатором, от сопротивления резистора. Какие две схемы следует использовать для проведения такого исследования?
Запишите в ответе номера выбранных схем.
|
24 | На тонкую собирающую линзу от удалённого источника падает пучок параллельных лучей (см. рисунок). Как изменится положение изображения источника, создаваемого линзой, если между линзой и её фокусом поставить плоскопараллельную стеклянную пластинку с показателем преломления n (на рисунке положение пластинки отмечено пунктиром)? Ответ поясните, указав, какие физические закономерности Вы использовали. Сделайте рисунок, поясняющий ход лучей до и после установки плоскопараллельной стеклянной пластинки.
|
25 | Груз подвешен на пружине жёсткостью 100 Н/м к потолку лифта. Лифт равноускоренно опускается вниз на расстояние 5 м в течение 2 с. Какова масса груза, если удлинение пружины при установившемся движении груза равно 1,5 см?
|
26 | Максимальная кинетическая энергия электронов, вылетающих из металла под действием света, равна 1,2 эВ. Если уменьшить длину волны падающего света в 2 раза, то максимальная кинетическая энергия электронов, вылетающих из этого же металла, станет равной 3,95 эВ. Определите энергию падающих фотонов в первом случае.
|
27 | Сферическую оболочку воздушного шара делают из материала, квадратный метр которого имеет массу 2 кг. Шар наполняют гелием при атмосферном давлении
|
28 | Ион ускоряется в электрическом поле с разностью потенциалов U = 10 кВ и попадает в однородное магнитное поле перпендикулярно к вектору его индукции B (см. рисунок).
Радиус траектории движения иона в магнитном поле R = 0,2 м, отношение массы иона к его электрическому заряду
|
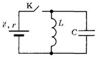
29 | В электрической цепи, показанной на рисунке, ключ K длительное время замкнут, E = 6 В, r = 2 Ом, L = 1 мГн. В момент t = 0 ключ K размыкают. В момент, когда в ходе возникших в контуре электромагнитных колебаний напряжение на конденсаторе равно ЭДС источника, сила тока в контуре I = 2,4 А. Найдите ёмкость конденсатора C. Сопротивлением проводов и активным сопротивлением катушки индуктивности пренебречь.
|
30 | По гладкой наклонной плоскости, составляющей угол α = 30° с горизонтом, скользит из состояния покоя брусок массой M = 250 г. В тот момент, когда брусок прошёл по наклонной плоскости расстояние x = 3,6 м, в него попала и застряла в нём летящая навстречу ему вдоль наклонной плоскости пуля массой m = 5 г. После попадания пули брусок поднялся вверх вдоль наклонной плоскости на расстояние S = 2,5 м от места удара. Найдите скорость пули перед попаданием в брусок. Трение бруска о плоскость не учитывать.
|
| Авторизация через | ![]() |
Сборник предназначен для самостоятельной подготовки к выпускным экзаменам. Благодаря тестовым заданиям из открытого банка заданий, вы можете проверить свои знания и определить, насколько подготовлены к соответствующим экзаменам. Также этот сборник будет полезен учителям, которые могут использовать его для контроля результатов освоения школьниками образовательных программ основного общего образования и интенсивной подготовки учащихся.
При выполнении заданий на экзаменах можно пользоваться черновиком. Записи в черновике не учитываются при оценивании работы. Баллы, полученные Вами за выполненные задания, суммируются. Постарайтесь выполнить как можно больше заданий и набрать наибольшее количество баллов.
Желаем успехов при сдаче экзаменов!
| < Предыдущий | Следующий > |