| < Предыдущий | Следующий > |
1 | Выберите все верные утверждения о физических явлениях, величинах и закономерностях. Запишите цифры, под которыми они указаны. 1) Изменение положения тела в пространстве относительно других тел с течением времени является механическим движением. 2) Процесс конденсации жидкостей происходит с поглощением большого количества теплоты. 3) При последовательном соединении резисторов напряжения на всех резисторах одинаковы. 4) Если замкнутый проводящий контур покоится в постоянном однородном магнитном поле, то в нём возникает индукционный ток. 5) Закон радиоактивного распада носит статистический характер и справедлив для огромного числа радиоактивных атомов.
|
2 | Даны следующие зависимости величин: A) зависимость модуля скорости тела, брошенного вертикально вверх, от времени Б) зависимость количества теплоты, выделяющегося при конденсации пара, от его массы B) зависимость заряда конденсатора от напряжения между его обкладками Установите соответствие между этими зависимостями и видами графиков, обозначенных цифрами 1-5. Цифры в ответе могут повторяться.
|
3 | На рисунке приведён график зависимости проекции vx скорости тела от времени t.
Определите путь, пройденный телом в интервале времени от 0 до 5 с.
|
4 | Скорость груза массой 0,6 кг равна 4 м/с. Какова кинетическая энергия груза?
|
5 | Груз, подвешенный на лёгкой пружине жёсткостью 400 Н/м, совершает свободные вертикальные гармонические колебания. Пружину какой жёсткости надо взять вместо первой пружины, чтобы период свободных колебаний этого груза стал в 2 раза меньше?
|
6 | Два одинаковых бруска толщиной 5 см и массой 1 кг каждый, связанные друг с другом, плавают в воде так, что уровень воды приходится на границу между ними (см. рисунок). Из приведённого ниже списка выберите два правильных утверждения.
1) Плотность материала, из которого изготовлены бруски, равна 500 кг/м3. 2) Если на верхний брусок положить груз массой 0,7 кг, то бруски утонут. 3) Если воду заменить на керосин, то глубина погружения брусков уменьшится. 4) Сила Архимеда, действующая на бруски, равна 20 Н. 5) Если в стопку добавить ещё два таких же бруска, то глубина её погружения увеличится на 10 см.
|
7 | На шероховатой наклонной плоскости покоится деревянный брусок. Угол наклона плоскости увеличили, но брусок относительно плоскости остался в покое. Как изменились при этом сила нормального давления бруска на плоскость и коэффициент трения бруска о плоскость? Для каждой величины определите соответствующий характер изменения: 1) увеличилась 2) уменьшилась 3) не изменилась
|
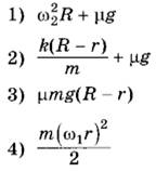
8 | Маленькая шайба массы m, способная перемещаться вдоль гладкого стержня, находится на поверхности горизонтального диска, равномерно вращающегося с угловой скоростью ω1, на расстоянии r от оси O, с которой шайба соединена лёгкой недеформированной пружинкой жёсткости k (см. рисунок). Коэффициент трения между шайбой и диском μ. Как только угловая скорость начинает медленно и плавно возрастать, шайба начинает смещаться. При угловой скорости ω2 расстояние до оси стало R, при этом диск стал вновь вращаться равномерно.
Установите соответствие между физическими величинами и формулами, по которым их можно рассчитать.
|
9 | В сосуде неизменного объёма находится идеальный газ. Во сколько раз нужно увеличить количество газа в сосуде, чтобы после уменьшения абсолютной температуры газа в 2 раза его давление стало вдвое больше начального?
|
10 | На рисунке показано, как менялось давление газа в зависимости от его объёма при переходе из состояния 1 в состояние 2, а затем в состояние 3. Чему равно отношение работ газа A12/A23 при этих переходах?
|
11 | В воздухе комнаты при относительной влажности 40 % парциальное давление водяного пара равно 980 Па. Определите давление насыщенного водяного пара при данной температуре.
|
12 | В стеклянную колбу налили немного воды и герметично закрыли её пробкой. Вода постепенно испарялась. На рисунке показан график изменения со временем t концентрации n молекул водяного пара внутри колбы. Температура в колбе в течение всего времени проведения опыта оставалась постоянной. В конце опыта в колбе ещё оставалась вода.
Из приведённого ниже списка выберите два правильных утверждения относительно описанного процесса. 1) На участке 1 водяной пар ненасыщенный, а на участке 2 насыщенный. 2) На участке 2 давление водяных паров не менялось. 3) На участке 1 плотность водяных паров уменьшалась. 4) На участке 2 плотность водяных паров увеличивалась. 5) На участке 1 давление водяных паров уменьшалось.
|
13 | Тонкая, упругая и мягкая оболочка герметичного воздушного шара наполнена водородом. Как изменяется с набором высоты при быстром подъёме шара давление водорода и концентрация молекул водорода в шаре? Оболочку считать теплоизолированной. Для каждой величины определите соответствующий характер изменения: 1) увеличивается 2) уменьшается 3) не изменяется
|
14 | Два неподвижных точечных заряда действуют друг на друга с силами, модуль которых равен F. Во сколько раз уменьшится модуль этих сил, если один заряд уменьшить в 5 раз, другой заряд увеличить в 2 раза, а расстояние между ними оставить прежним?
|
15 | Пять одинаковых резисторов с сопротивлением 15 Ом каждый соединены в электрическую цепь, через которую течёт ток I = 4 А (см. рисунок). Какое напряжение показывает идеальный вольтметр?
|
16 | В колебательном контуре (см. рисунок) индуктивность катушки L = 12 мГн. Какой должна быть индуктивность Lx второй катушки, чтобы при переводе ключа K из положения 1 в положение 2 период собственных электромагнитных колебаний в контуре уменьшился в √3 раза?
|
17 | Плоский воздушный конденсатор ёмкостью C0, подключённый к источнику постоянного напряжения, состоит из двух металлических пластин, находящихся на расстоянии d0 друг от друга. Расстояние между пластинами меняется со временем так, как показано на графике. Выберите два верных утверждения, соответствующих описанию опыта.
1) Энергия конденсатора убывает в интервале времени от t1 до t4. 2) Ёмкость конденсатора равномерно возрастает в интервале времени от t1 до t4. 3) В момент времени t4 заряд конденсатора уменьшился в пять раз по сравнению с первоначальным. 4) Напряжённость электрического поля между пластинами конденсатора остаётся постоянной в промежутке времени от t1 до t4. 5) Напряжённость электрического поля между пластинами конденсатора возрастает в промежутке времени от t1 до t4.
|
18 | Неразветвлённая электрическая цепь постоянного тока состоит из источника тока и подключённого к его выводам внешнего резистора. Как изменятся при увеличении сопротивления резистора сила тока в цепи и напряжение на резисторе? Для каждой величины определите соответствующий характер изменения: 1) увеличится 2) уменьшится 3) не изменится
|
19 | Спираль лампочки расположена вблизи главной оптической оси тонкой рассеивающей линзы на расстоянии a от нее перпендикулярно этой оси, причём F < a < 2F, где F — модуль фокусного расстояния линзы. Затем рассеивающую линзу заменили на собирающую с фокусным расстоянием F. Установите соответствие между видом линзы, использованной в опыте, и свойствами даваемого ею изображения.
|
20 | Частоты фотонов двух пучков света связаны равенством n2 = 2n1. Определите отношение модулей импульсов фотонов p2/p1.
|
21 | На рисунке изображена упрощённая диаграмма нижних энергетических уровней атома. Нумерованными стрелками отмечены некоторые возможные переходы атома между этими уровнями. Какой из этих четырёх переходов связан с поглощением света наибольшей энергии, а какой — с излучением света с наименьшей длиной волны?
Установите соответствие между процессами поглощения и испускания света и стрелками, указывающими энергетические переходы атома.
|
22 | Определите показания амперметра (см. рисунок), если погрешность прямого измерения силы тока составляет половину цены деления амперметра.
|
23 | Необходимо экспериментально изучить зависимость заряда, накопленного конденсатором, от ЭДС аккумулятора. Какие две схемы следует использовать для проведения такого исследования?
|
24 | На тонкую собирающую линзу от удалённого источника падает пучок параллельных лучей (см. рисунок). Как изменится положение изображения источника, создаваемого линзой, если между линзой и её фокусом поставить плоскопараллельную стеклянную пластинку с показателем преломления n (на рисунке положение пластинки отмечено пунктиром)? Ответ поясните, указав, какие физические закономерности Вы использовали. Сделайте рисунок, поясняющий ход лучей до и после установки плоскопараллельной стеклянной пластинки.
|
25 | Груз массой 0,4 кг подвешен на пружине жёсткостью 100 Н/м к потолку лифта. Лифт равноускоренно поднимается вверх на расстояние 5 м в течение 2 с. Каково удлинение пружины при установившемся движении груза?
|
26 | Максимальная кинетическая энергия электронов, вылетающих из металла под действием света, равна 1,2 эВ. Если увеличить частоту падающего света в 2 раза, то максимальная кинетическая энергия электронов, вылетающих из этого же металла, станет равной 3,95 эВ. Определите работу выхода электронов с поверхности металла.
|
27 | Сферическую оболочку воздушного шара наполняют гелием при атмосферном давлении
|
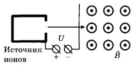
28 | Ион ускоряется в электрическом поле с разностью потенциалов U = 10 кВ и попадает в однородное магнитное поле перпендикулярно к вектору его индукции B (см. рисунок). Радиус траектории движения иона в магнитном поле R = 0,2 м, модуль индукции магнитного поля равен 0,5 Тл. Определите отношение массы иона к его электрическому заряду m/q. Кинетической энергией иона при его вылете из источника пренебрегите.
|
29 | В электрической цепи, показанной на рисунке, ключ K длительное время замкнут, E = 3 В, r = 2 Ом, L = 1 мГн, С = 50 мкФ. В момент t = 0 ключ K размыкают. Каково напряжение U на конденсаторе в момент, когда в ходе возникших в контуре электромагнитных колебаний сила тока в контуре I = 1 А? Сопротивлением проводов и активным сопротивлением катушки индуктивности пренебречь.
|
30 | По гладкой наклонной плоскости, составляющей угол α = 30° с горизонтом, скользит из состояния покоя брусок массой M = 250 г. В тот момент, когда брусок прошёл по наклонной плоскости расстояние x = 3,6 м, в него попала и застряла в нём летящая навстречу ему вдоль наклонной плоскости пуля массой m. Скорость пули v = 555 м/с. После попадания пули брусок поднялся вверх вдоль наклонной плоскости на расстояние S = 2,5 м от места удара. Найдите массу пули m. Трение бруска о плоскость не учитывать.
|
| Авторизация через | ![]() |
Сборник предназначен для самостоятельной подготовки к выпускным экзаменам. Благодаря тестовым заданиям из открытого банка заданий, вы можете проверить свои знания и определить, насколько подготовлены к соответствующим экзаменам. Также этот сборник будет полезен учителям, которые могут использовать его для контроля результатов освоения школьниками образовательных программ основного общего образования и интенсивной подготовки учащихся.
При выполнении заданий на экзаменах можно пользоваться черновиком. Записи в черновике не учитываются при оценивании работы. Баллы, полученные Вами за выполненные задания, суммируются. Постарайтесь выполнить как можно больше заданий и набрать наибольшее количество баллов.
Желаем успехов при сдаче экзаменов!
| < Предыдущий | Следующий > |