| < Предыдущий | Следующий > |
1 | Выберите все верные утверждения о физических явлениях, величинах и закономерностях. Запишите цифры, под которыми они указаны. 1) По мере удаления от Марса сила притяжения к нему изменяется обратно пропорционально квадрату расстоянию до его центра. 2) Температура плавления кристаллических тел зависит от их массы. 3) Если электрический ток протекает по алюминиевому проводнику, то ни при каких условиях не может наблюдаться действие тока на магнитную стрелку. 4) Магнитное поле индукционного тока в контуре всегда препятствует изменению магнитного потока, из-за которого возник этот индукционный ток. 5) При α-распаде ядро теряет примерно четыре единицы атомной массы, а появившийся в ходе реакции элемент смещается на две клетки вправо в Периодической таблице Д. И. Менделеева.
|
2 | Даны следующие зависимости величин: A) зависимость импульса движущегося тела от его скорости Б) зависимость средней кинетической энергии поступательного движения частиц газа от его абсолютной температуры B) зависимость количества теплоты, выделяющейся на резисторе сопротивлением R за время t, от напряжения на резисторе Установите соответствие между этими зависимостями и видами графиков, обозначенных цифрами 1-5. Цифры в ответе могут повторяться.
|
3 | Расстояние от искусственного спутника до поверхности Земли равно одному радиусу Земли. Во сколько раз увеличится сила притяжения спутника к Земле, если спутник окажется на поверхности Земли?
|
4 | На тело массой 2 кг, движущееся прямолинейно в инерциальной системе отсчёта, в течение 5 с в направлении движения действует постоянная сила 20 Н. Каково увеличение импульса тела за это время?
|
5 | В момент времени t0 груз нитяного маятника, имеющего период колебаний T = 1,2 с, проходит через положение равновесия (см. рисунок). За какой промежуток времени с момента t0 он проходит путь, равный трём амплитудам колебаний?
|
6 | Учащиеся роняли с башни шарики для настольного тенниса и снимали их полёт цифровой видеокамерой. Обработка видеозаписей позволила построить графики зависимости пути s, пройденного шариком, и его скорости v от времени падения t.
Выберите два верных утверждения, характеризующих наблюдаемое падение. 1) Величина ускорения, с которым падал шарик, увеличивалась в интервале времени (0-t3) и оставалась постоянной при t > t4. 2) В течение всего времени падения (0-t5) потенциальная энергия шарика в поле тяжести, отсчитываемая от основания башни, уменьшалась. 3) Сумма кинетической и потенциальной энергий шарика оставалась неизменной во время падения. 4) В интервале времени падения (0-t3) величина импульса шарика постоянно увеличивалась и оставалась постоянной при t > t3. 5) Величина ускорения, с которым падал шарик, увеличивалась в интервале времени (0-t3).
|
7 | Камень брошен вверх под углом к горизонту. Сопротивление воздуха пренебрежимо мало. Как меняются по мере подъёма камня полная механическая энергия и модуль импульса камня? Для каждой величины определите соответствующий характер изменения: 1) увеличивается 2) уменьшается 3) не изменяется
|
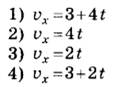
8 | Выражения А и Б определяют зависимость координат двух тел от времени. Установите соответствие между зависимостью координаты тела от времени и зависимостью проекции скорости от времени для этого же тела (все величины заданы в СИ).
|
9 | На рисунке представлен график зависимости объёма идеального газа от его температуры в некотором процессе. В состоянии 1 давление газа было равно нормальному атмосферному давлению. Какое давление соответствует состоянию 2, если масса газа остаётся неизменной?
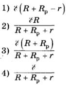
|
10 | Рабочее тело тепловой машины за один цикл отдаёт холодильнику количество теплоты 150 Дж и совершает работу 50 Дж. Какое количество теплоты получает рабочее тело от нагревателя за два цикла?
|
11 | В сосуде, объём которого можно изменять при помощи поршня, находится воздух с относительной влажностью 25 %. Во сколько раз при неизменной температуре необходимо уменьшить объём сосуда, чтобы водяной пар стал насыщенным?
|
12 | Объём сосуда, содержащего 1 моль аргона, уменьшили вдвое и добавили в сосуд 1 моль гелия. Температура в сосуде поддерживается постоянной. Выберите из предложенного списка два утверждения, которые верно отражают результаты этого опыта. 1) Концентрации аргона и гелия в сосуде одинаковы. 2) Парциальное давление аргона не изменилось. 3) Внутренняя энергия аргона не изменилась. 4) Плотность газа в сосуде не изменилась. 5) Давление в сосуде увеличилось в 2 раза.
|
13 | На графиках А и Б приведены диаграммы V-T и р-Т для процессов 1-2 и 3-4, проводимых с 1 моль неона. На диаграммах р — давление, V — объём и T — абсолютная температура газа.
|
14 | Силы электростатического взаимодействия между двумя неподвижными точечными заряженными телами равны по модулю 80 мН. Каким станет модуль этих сил, если расстояние между телами увеличить в 2 раза?
|
15 | На сколько увеличится сопротивление участка цепи АВ, изображённого на рисунке, если ключ К разомкнуть? Сопротивление R = 12 Ом.
|
16 | Какая из точек 1-4 является изображением точки S (см. рисунок), создаваемым тонкой собирающей линзой с фокусным расстоянием F?
|
17 | Проволочная рамка площадью 30 см2 помещена в однородное магнитное поле так, что плоскость рамки перпендикулярна вектору индукции Б. Величина индукции магнитного поля В изменяется во времени t согласно графику на рисунке.
Из приведённого ниже списка выберите два правильных утверждения о процессах, происходящих в рамке. 1) Магнитный поток через рамку в интервале времени от 1 до 3 мс равен 6 мВб. 2) Модуль ЭДС электромагнитной индукции в рамке в интервале времени от 3 до 4 мс равен 6 В. 3) Модуль ЭДС электромагнитной индукции в рамке минимален в интервале времени от 0 до 1 мс. 4) Скорость изменения магнитного потока через рамку максимальна в интервале времени от 4 до 6 мс. 5) Модуль ЭДС электромагнитной индукции в рамке максимален в интервале времени от 0 до 1 мс.
|
18 | Электрон движется по окружности в однородном магнитном поле. Как изменятся ускорение электрона и частота вращения по окружности, по которой он движется, если уменьшить его скорость? Для каждой величины определите соответствующий характер изменения: 1) увеличится 2) уменьшится 3) не изменится
|
19 | Исследуется электрическая цепь, собранная по схеме, представленной на рисунке. Определите формулы, которые можно использовать для расчётов показаний амперметра и вольтметра. Измерительные приборы считать идеальными.
|
20 | Энергия фотона в первом пучке света в 2 раза больше энергии фотона во втором пучке. Определите отношение
|
21 | Как изменяются с увеличением массового числа изотопов одного и того же химического элемента число протонов и число нейтронов в ядре соответствующего нейтрального атома? Для каждой величины определите соответствующий характер изменения: 1) увеличивается 2) уменьшается 3) не изменяется
|
22 | Определите показания амперметра (см. рисунок), если погрешность прямого измерения силы тока равна цене деления амперметра.
|
23 | Школьник изучает свободные колебания нитяного маятника. В его распоряжении имеется пять маятников, характеристики которых указаны в таблице. Какие два маятника необходимо взять школьнику для того, чтобы на опыте выяснить, зависит ли период свободных колебаний маятника от массы шарика? Шарики сплошные.
|
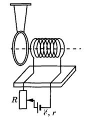
24 | Многовитковая катушка медного провода подключена к источнику тока через реостат. Вблизи торца катушки на шёлковых нитях подвешено замкнутое медное кольцо с малым сопротивлением. Ось кольца совпадает с осью катушки (см. рисунок). Опишите, как начнёт двигаться кольцо (притянется, оттолкнётся или останется неподвижным относительно катушки), если движок реостата резко сдвинуть вниз в крайнее положение. Ответ поясните, указав, какие физические явления и закономерности Вы использовали для объяснения.
|
25 | Брусок массой m = 2 кг движется поступательно по горизонтальной плоскости под действием постоянной силы величиной F = 25 Н, направленной под углом α = 30° к горизонту (см. рисунок). Определите коэффициент трения между бруском и плоскостью, если модуль силы трения, действующей на брусок, Fтр =1,2 Н.
|
26 | Действительное изображение предмета, полученное с помощью тонкой собирающей линзы, находится на расстоянии 12 см от линзы. Оптическая сила линзы 15 дптр. Определите расстояние от линзы до предмета.
|
27 | В стакан с водой, нагретой до температуры t1, положили металлический шарик, имеющий температуру t2 = 10 °С. После установления теплового равновесия температура воды стала t3 =40 °С. После того, как в стакан положили ещё один такой же шарик температурой t2 (первый шарик остался в стакане), температура воды после установления теплового равновесия оказалась равной t4 = 34 °С. Определите начальную температуру t1. Теплообменом с окружающей средой пренебречь.
|
28 | Источник тока, два резистора и ключ включены в цепь, как показано на рисунке. При разомкнутом ключе на резисторе R1 выделяется мощность Р1 = 3 Вт, а на резисторе R2 — мощность Р2 = 6 Вт. Какая мощность будет выделяться на резисторе R1 после замыкания ключа К? Внутренним сопротивлением источника пренебречь.
|
29 | Фотоэлектроны, выбитые монохроматическим светом частотой
|
30 | Шарик падает с высоты Н = 2 м над поверхностью Земли из состояния покоя. На высоте h = 1м он абсолютно упруго ударяется о доску, расположенную под углом к горизонту (см. рисунок). После этого удара шарик поднялся на максимальную высоту h1 = 1,25 м от поверхности Земли. Какой угол α составляет доска с горизонтом? Сопротивлением воздуха пренебречь.
|
| Авторизация через | ![]() |
Сборник предназначен для самостоятельной подготовки к выпускным экзаменам. Благодаря тестовым заданиям из открытого банка заданий, вы можете проверить свои знания и определить, насколько подготовлены к соответствующим экзаменам. Также этот сборник будет полезен учителям, которые могут использовать его для контроля результатов освоения школьниками образовательных программ основного общего образования и интенсивной подготовки учащихся.
При выполнении заданий на экзаменах можно пользоваться черновиком. Записи в черновике не учитываются при оценивании работы. Баллы, полученные Вами за выполненные задания, суммируются. Постарайтесь выполнить как можно больше заданий и набрать наибольшее количество баллов.
Желаем успехов при сдаче экзаменов!
| < Предыдущий | Следующий > |