| < Предыдущий | Следующий > |
1 | Найдите значение выражения
|
2 | На бензоколонке один литр бензина стоит 48 рублей. Водитель залил в бак 14 литров бензина и взял бутылку воды за 64 рубля. Сколько рублей сдачи он должен получить с 1000 рублей?
|
3 | Установите соответствие между величинами и их возможными значениями: к каждому элементу первого столбца подберите соответствующий элемент из второго столбца.
|
4 | На рисунке точками показан средний курс евро к рублю во все месяцы 2019 и 2020 годов. По горизонтали указаны месяцы, по вертикали — средняя цена 1 евро в рублях. Определите, сколько месяцев в 2019 году средний курс евро не превышал 72 рубля.
|
5 | На клетчатой бумаге с размером клетки 1x1 изображён треугольник. Найдите его площадь.
|
6 | В сентябре 1 кг слив стоил 80 рублей, в октябре сливы подорожали на 15%, а в ноябре — еще на 20 %. Сколько рублей стоил 1 кг слив после подорожания в ноябре?
|
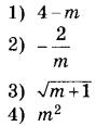
7 | Найдите значение выражения
|
8 | Работа постоянного тока (в джоулях) вычисляется по формуле
|
9 | Решите уравнение
|
10 | Сколько потребуется кафельных плиток квадратной формы со стороной 20 см, чтобы облицевать ими стену, имеющую форму прямоугольника со сторонами 3,4 м и 4,8 м?
|
11 | На тарелке лежат одинаковые на вид пирожки: 4 с мясом, 5 с капустой и 6 с вишней. Петя наугад выбирает один пирожок. Найдите вероятность того, что этот пирожок окажется с вишней.
|
12 | Игорь Дмитриевич собирается в туристическую поездку на трое суток в некоторый город. В таблице дана информация о гостиницах в этом городе со свободными номерами на время его поездки.
Игорь Дмитриевич хочет остановиться в гостинице, которая находится не далее 2,5 км от центральной площади и рейтинг которой не ниже 8,5. Среди гостиниц, удовлетворяющих этим условиям, выберите гостиницу с наименьшей ценой номера за сутки. Сколько рублей стоит проживание в этой гостинице в течение трёх суток?
|
13 | В бак, имеющий форму правильной четырёхугольной призмы, налито 8 л воды. После полного погружения в воду детали уровень воды в баке увеличился в 1,7 раза. Найдите объём детали. Ответ дайте в кубических сантиметрах, зная, что в одном литре 1000 кубических сантиметров.
|
14 | На рисунке изображён график функции y = f(x). Числа a, b, c, d и e задают на оси Ох интервалы. Пользуясь графиком, поставьте в соответствие каждому интервалу характеристику функции.
|
15 | В параллелограмме ABCD сторона АВ равна 12, a AC = BD=15. Найдите площадь параллелограмма.
|
16 | Даны два цилиндра. Радиус основания и высота первого цилиндра равны соответственно 4 и 10, а второго — 5 и 4. Во сколько раз объём второго цилиндра меньше объёма первого?
|
17 | На координатной прямой отмечены точки А, В, С и D.
Число m равно
|
18 | В жилых домах, в которых больше 12 этажей, установлены электрические плиты вместо газовых. Выберите утверждения, которые верны при приведённом условии. 1) Если в доме установлены газовые плиты, то в этом доме более 13 этажей. 2) Если в доме установлены газовые плиты, то в этом доме менее 13 этажей. 3) Если в доме больше 17 этажей, то в нём установлены газовые плиты. 4) Если в доме установлены газовые плиты, то в нём не более 12 этажей.
|
19 | Найдите четырёхзначное число, большее 4000, но меньшее 6500, которое делится на 60 и каждая следующая цифра которого меньше предыдущей. В ответе укажите какое-нибудь одно такое число.
|
20 | Теплоход проходит от пристани А до пристани В по течению реки за 5 часов, а против течения — за 7,5 часов. За сколько часов теплоход преодолел бы расстояние между А и В, двигаясь в неподвижной воде, если скорость течения реки 2 км/ч?
|
21 | Хозяин договорился с рабочими, что они выкопают ему колодец на следующих условиях: за первый метр он заплатит им 4100 рублей, а за каждый следующий метр — на 1700 рублей больше, чем за предыдущий. Сколько рублей хозяин должен будет заплатить рабочим, если они выкопают колодец глубиной 7 метров?
|
| Авторизация через | ![]() |
Сборник предназначен для самостоятельной подготовки к выпускным экзаменам. Благодаря тестовым заданиям из открытого банка заданий, вы можете проверить свои знания и определить, насколько подготовлены к соответствующим экзаменам. Также этот сборник будет полезен учителям, которые могут использовать его для контроля результатов освоения школьниками образовательных программ основного общего образования и интенсивной подготовки учащихся.
При выполнении заданий на экзаменах можно пользоваться черновиком. Записи в черновике не учитываются при оценивании работы. Баллы, полученные Вами за выполненные задания, суммируются. Постарайтесь выполнить как можно больше заданий и набрать наибольшее количество баллов.
Желаем успехов при сдаче экзаменов!
| < Предыдущий | Следующий > |