| < Предыдущий | Следующий > |
1 | Найдите значение выражения
|
2 | Килограмм винограда стоит 130 рублей. Оля купила 1 кг 500 г винограда. Сколько рублей сдачи она должна была получить с 500 рублей?
|
3 | Установите соответствие между величинами и их возможными значениями: к каждому элементу первого столбца подберите соответствующий элемент из второго столбца.
|
4 | На рисунке жирными точками показана средняя цена нефти марки Brent во все месяцы 2018 года. По горизонтали указаны месяцы, по вертикали — цена 1 барреля нефти в долларах США. Для наглядности точки соединены отрезками.
Определите, на сколько долларов США средняя цена барреля нефти в декабре была ниже, чем в июне 2018 года.
|
5 | На фрагменте географической карты схематично изображены очертания водоёмов парка «Усадьба Троекурово» (длина стороны квадратной клетки равна 50 м). Оцените приближённо площадь Восточного Троекуровского пруда. Ответ дайте в квадратных метрах с округлением до целого значения.
|
6 | В период распродажи магазин снижал цены дважды: в первый раз на 10 %, во второй — на 15 %. Сколько рублей стал стоить чайник после второго снижения цен, если до начала распродажи он стоил 1200 рублей?
|
7 | Найдите значение выражения (0,1)^2∙10^4∙3^2
|
8 | Теорему синусов можно записать в виде
|
9 | Найдите корень уравнения -8(3 + x) + x = 4.
|
10 | Участок земли для строительства дачи имеет форму прямоугольника, стороны которого равны 60 м и 50 м. Одна из больших сторон участка идет вдоль реки, а три остальные стороны нужно огородить забором. Найдите длину этого забора. Ответ дайте в метрах.
|
11 | На олимпиаде по химии участников рассаживают по трём аудиториям. В первых двух аудиториях сажают по 140 человек, оставшихся проводят в запасную аудиторию в другом корпусе. При подсчёте выяснилось, что всего было 400 участников. Найдите вероятность того, что случайно выбранный участник писал олимпиаду в запасной аудитории.
|
12 | Михаил хочет взять в аренду на 7 дней небольшой внедорожник для поездки в горы протяжённостью 3500 км. В прокатной компании есть две подходящих машины. Укажите внедорожник с наименьшей полной стоимостью аренды, исходя из данных, указанных в таблице. В ответе укажите полную стоимость аренды этой машины в рублях.
| ||||||||||||
13 | В сосуде, имеющем форму конуса, уровень жидкости достигает 4/5 высоты сосуда. Объём жидкости равен 80 мл. Сколько миллилитров жидкости нужно долить, чтобы наполнить сосуд доверху?
|
14 | В таблице указаны доходы и расходы фирмы за 5 месяцев,
Пользуясь таблицей, поставьте в соответствие каждому из указанных периодов времени характеристику доходов и расходов.
|
15 | В параллелограмме ABCD проведена биссектриса угла А, пересекающая сторону ВС в точке К. Найдите КС, если АВ = 4, а периметр параллелограмма равен 20.
|
16 | Даны два шара с радиусами 8 и 2. Во сколько раз площадь поверхности большего шара больше площади поверхности меньшего?
|
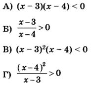
17 | Каждому из четырёх неравенств в левом столбце соответствует одно из решений в правом столбце. Установите соответствие между неравенствами и их решениями.
|
18 | Андрей Сергеевич был в отпуске 9 дней и каждый день ходил куда-нибудь гулять. Два раза он ходил на смотровую площадку и 3 раза ходил на пляж (за день Андрей Сергеевич мог сходить и на смотровую площадку, и на пляж, а мог никуда не ходить, но дважды в день в одно и то же место не ходил). Выберите утверждения, которые верны при указанных условиях вне зависимости от того, в какие дни Андрей Сергеевич ходил на пляж. 1) Не может оказаться, что Андрей Сергеевич 4 дня ходил и на смотровую площадку, и на пляж. 2) Было 2 дня, когда Андрей Сергеевич ходил и на смотровую площадку, и на пляж. 3) Было 3 дня, когда Андрей Сергеевич никуда не ходил. 4) Если Андрей Сергеевич сходил на смотровую площадку, то в этот же день он ходил и на пляж.
|
19 | Найдите трёхзначное натуральное число меньше 500, которое при делении и на 8, и на 5 даёт равные ненулевые остатки и первая справа цифра в записи которого является средним арифметическим двух других цифр. В ответе укажите какое-нибудь одно такое число.
|
20 | Лодка и катер одновременно отправились навстречу друг другу из пунктов А и Б и встретились через 3 часа. Продолжив движение после встречи, лодка прибыла в пункт Б через 4,5 часа. Через сколько часов после встречи катер прибыл в пункт А?
|
21 | Во всех подъездах дома одинаковое число этажей, и на всех этажах одинаковое число квартир. При этом число этажей в доме больше числа квартир на этаже, число квартир на этаже больше числа подъездов, а число подъездов больше одного. Сколько этажей в доме, если всего в нём 455 квартир?
|
| Авторизация через | ![]() |
Сборник предназначен для самостоятельной подготовки к выпускным экзаменам. Благодаря тестовым заданиям из открытого банка заданий, вы можете проверить свои знания и определить, насколько подготовлены к соответствующим экзаменам. Также этот сборник будет полезен учителям, которые могут использовать его для контроля результатов освоения школьниками образовательных программ основного общего образования и интенсивной подготовки учащихся.
При выполнении заданий на экзаменах можно пользоваться черновиком. Записи в черновике не учитываются при оценивании работы. Баллы, полученные Вами за выполненные задания, суммируются. Постарайтесь выполнить как можно больше заданий и набрать наибольшее количество баллов.
Желаем успехов при сдаче экзаменов!
| < Предыдущий | Следующий > |