ЕГЭ и ОГЭ
Главная

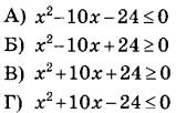
Решение 2752. Каждому из четырёх неравенств в левом столбце соответствует одно из решений в правом столбце. Установите соответствие между неравенствами и их решениями.

Задание 17. Каждому из четырёх неравенств в левом столбце соответствует одно из решений в правом столбце. Установите соответствие между неравенствами и их решениями.

НЕРАВЕНСТВА

РЕШЕНИЯ

Решение.

А) Неравенство можно записать в виде:

Имеем две точки -2 и 12, которым соответствует только одно решение под номером 1.

Б) Перепишем неравенство в виде:

Имеем две точки 6 и 4, которым соответствует только одно решение под номером 4.

В) Неравенство можно записать в виде:

Имеем две точки -6 и -4, которым соответствует только одно решение под номером 3.

Г) Неравенство можно записать в виде:

Имеем две точки -12 и 2, которым соответствует только одно решение под номером 2.

Ответ: 1432


Другие задания:

Темы раздела

Для наших пользователей доступны следующие материалы: