ЕГЭ и ОГЭ
Главная

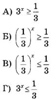
Решение 3052. Каждому из четырёх неравенств в левом столбце соответствует одно из решений в правом столбце. Установите соответствие между неравенствами и их решениями.

Задание 17. Каждому из четырёх неравенств в левом столбце соответствует одно из решений в правом столбце. Установите соответствие между неравенствами и их решениями.

НЕРАВЕНСТВА

РЕШЕНИЯ

Решение.

А) Перепишем неравенство в виде:

Получаем решение под номером 4.

Б) Преобразуем неравенство, получим:

Получаем решение под номером 3.

В) Перепишем неравенство в виде:

Получаем решение под номером 2.

Г) Преобразуем неравенство, получим:

Получаем решение под номером 1.

Ответ: 4321


Другие задания:

Темы раздела

Для наших пользователей доступны следующие материалы: