| < Предыдущий | Следующий > |
1 | Найдите значение выражения
|
2 | Стоимость проездного билета на месяц составляет 655 рублей, а стоимость билета на одну поездку — 25 рублей. Аня купила проездной и сделала за месяц 47 поездок. На сколько рублей больше она бы потратила, если бы покупала билеты на одну поездку?
|
3 | Установите соответствие между величинами и их возможными значениями: к каждому элементу первого столбца подберите соответствующий элемент из второго столбца.
|
4 | На рисунке показано изменение атмосферного давления в течение трёх суток. По горизонтали указаны дни недели, по вертикали — значения атмосферного давления в миллиметрах ртутного столба.
Определите по рисунку наибольшее значение атмосферного давления (в миллиметрах ртутного столба) в среду.
|
5 | На клетчатой бумаге с размером клетки 1x1 изображена трапеция. Найдите длину средней линии этой трапеции.
|
6 | На пост председателя школьного совета претендовали два кандидата. В голосовании приняли участие 180 человек. Голоса между кандидатами распределились в отношении 2:3. Сколько голосов получил победитель?
|
7 | Найдите значение выражения
|
8 | Среднее гармоническое трёх чисел a, b и c вычисляется по формуле . Найдите среднее гармоническое чисел 1/4, 1/5 и 1/6.
|
9 | Найдите корень уравнения 4 – 3(5-2x) = 9x - 2
|
10 | Дачный участок имеет форму квадрата, сторона которого равна 40 м. Дом, расположенный на участке, имеет на плане форму прямоугольника, стороны которого равны 9 м и 8 м. Найдите площадь оставшейся части участка, не занятой домом. Ответ дайте в квадратных метрах.
|
11 | На соревнованиях по прыжкам в воду участвуют 25 спортсменов, среди которых 7 прыгунов из Канады. Порядок старта определяется случайным образом с помощью жребия. Известно, что третьим по порядку прыгает спортсмен из Канады. Найдите вероятность того, что вторым будет прыгать тоже представитель Канады.
|
12 | Интернет-провайдер предлагает три тарифных плана.
Пользователь предполагает, что его трафик составит 700 Мб в месяц, и, исходя из этого, выбирает наиболее дешёвый тарифный план. Сколько рублей должен будет заплатить пользователь за месяц, если его трафик действительно будет равен 700 Мб?
|
13 | Аквариум имеет форму прямоугольного параллелепипеда с размерами 80 см х 30 см х 40 см. Сколько литров составляет объём аквариума? В одном литре 1000 кубических сантиметров.
|
14 | На рисунке точками показано потребление воды городской ТЭЦ на протяжении суток. По горизонтали указывается время, по вертикали — объём воды в кубометрах в час. Для наглядности точки соединены линией.
Пользуясь рисунком, поставьте в соответствие каждому из указанных периодов времени характеристику потребления воды данной ТЭЦ в течение этого периода.
|
15 | Стороны параллелограмма равны 22 и 44. Высота, опущенная на меньшую сторону, равна 33. Найдите высоту, опущенную на большую сторону параллелограмма.
|
16 | Объём конуса равен 256. Через точку, делящую высоту конуса в отношении 1:3, считая от вершины, проведена плоскость, параллельная основанию. Найдите объём конуса, отсекаемого от данного конуса проведённой плоскостью.
|
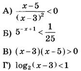
17 | Каждому из четырёх неравенств в левом столбце соответствует одно из решений в правом столбце. Установите соответствие между неравенствами и их решениями.
|
18 | Когда учитель физики Николай Дмитриевич ведёт урок, он обязательно отключает свой телефон. Выберите утверждения, которые верны при приведённом условии. 1) Если телефон Николая Дмитриевича включён, значит, он не ведёт урок. 2) Если телефон Николая Дмитриевича включён, значит, он ведёт урок. 3) Если Николай Дмитриевич проводит на уроке лабораторную работу по физике, значит, его телефон выключен. 4) Если Николай Дмитриевич ведёт урок физики, значит, его телефон включён.
|
19 | Найдите пятизначное число, кратное 15, любые две соседние цифры которого отличаются на 2. В ответе укажите какое-нибудь одно такое число.
|
20 | Катер от пристани А до пристани Б по реке доходит за 1 час, а обратно — за 1 час 20 минут. Сколько километров между пристанями А и Б, если скорость течения реки 2 км/ч?
|
21 | Десять столбов соединены между собой проводами так, что от каждого столба отходит ровно 7 проводов. Сколько всего проводов протянуто между этими десятью столбами?
|
| Авторизация через | ![]() |
Сборник предназначен для самостоятельной подготовки к выпускным экзаменам. Благодаря тестовым заданиям из открытого банка заданий, вы можете проверить свои знания и определить, насколько подготовлены к соответствующим экзаменам. Также этот сборник будет полезен учителям, которые могут использовать его для контроля результатов освоения школьниками образовательных программ основного общего образования и интенсивной подготовки учащихся.
При выполнении заданий на экзаменах можно пользоваться черновиком. Записи в черновике не учитываются при оценивании работы. Баллы, полученные Вами за выполненные задания, суммируются. Постарайтесь выполнить как можно больше заданий и набрать наибольшее количество баллов.
Желаем успехов при сдаче экзаменов!
| < Предыдущий | Следующий > |