| < Предыдущий | Следующий > |
1 | Найдите значение выражения
|
2 | Принтер печатает одну страницу за 15 секунд. Какое наибольшее количество страниц можно напечатать на этом принтере за 9 минут?
|
3 | Установите соответствие между величинами и их возможными значениями: к каждому элементу первого столбца подберите соответствующий элемент из второго столбца.
|
4 | На графике показана зависимость крутящего момента автомобильного двигателя от числа оборотов в минуту. На горизонтальной оси отмечено число оборотов в минуту, на вертикальной оси — крутящий момент в Н∙м.
Определите по графику число оборотов двигателя в минуту при крутящем моменте 20 Н∙м.
|
5 | На фрагменте географической карты схематично изображены границы города и очертания водохранилища (длина стороны квадратной клетки равна 1 км). Оцените приближённо площадь города Электренай, включая водохранилище. Ответ дайте в квадратных километрах с округлением до целого значения.
|
6 | Товар на распродаже уценили на 20%, при этом он стал стоить 760 рублей. Сколько рублей стоил товар до распродажи?
|
7 | Найдите значение выражения
|
8 | Перевести температуру из шкалы Фаренгейта в шкалу Цельсия позволяет формула
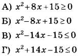
|
9 | Найдите корень уравнения
|
10 | Перила лестницы дачного дома для надёжности укреплены посередине вертикальным столбом длиной 2,6 м. Найдите наименьшую высоту h1 перил, если наибольшая высота h2 равна 3,1 м. Ответ дайте в метрах.
|
11 | Фабрика выпускает сумки. В среднем из 200 сумок, поступивших в продажу, 6 сумок имеют скрытый дефект. Найдите вероятность того, что случайно выбранная сумка окажется с дефектом.
|
12 | Для того чтобы связать свитер, хозяйке нужно 800 граммов шерстяной пряжи красного цвета. Можно купить красную пряжу по цене 70 рублей за 50 граммов, а можно купить неокрашенную пряжу по цене 50 рублей за 50 граммов и окрасить её. Один пакетик краски стоит 40 рублей и рассчитан на окраску 400 граммов пряжи. Какой вариант покупки дешевле? В ответ напишите, сколько рублей будет стоить эта покупка.
|
13 | В бак, имеющий форму правильной четырёхугольной призмы, налито 5 л воды. После полного погружения в воду детали уровень воды в баке увеличился в 2,4 раза. Найдите объём детали. Ответ дайте в кубических сантиметрах, зная, что в одном литре 1000 кубических сантиметров.
|
14 | Установите соответствие между графиками функций и графиками их производных.
|
15 | Катеты прямоугольного треугольника равны 7 и 24. Найдите наибольшую среднюю линию треугольника.
|
16 | Даны два шара с радиусами 8 и 4. Во сколько раз площадь поверхности меньшего шара меньше площади поверхности большего?
|
17 | Каждому из четырёх неравенств в левом столбце соответствует одно из решений в правом столбце. Установите соответствие между неравенствами и их решениями.
|
18 | На соревнованиях сборная Канады завоевала медалей больше, чем сборная Нидерландов, сборная Белоруссии — меньше, чем сборная Нидерландов, а сборная Швейцарии — меньше, чем сборная Канады. Выберите утверждения, которые верны при указанных условиях. 1) Из названных сборных команда Белоруссии заняла второе место по числу медалей. 2) Сборная Белоруссии завоевала меньше медалей, чем сборная Канады. 3) Среди названных сборных есть три, завоевавшие равное количество медалей. 4) Сборная Канады завоевала больше медалей, чем каждая из остальных трёх сборных.
|
19 | Найдите трёхзначное число, кратное 40, все цифры которого различны, а сумма квадратов цифр делится на 4, но не делится на 16. В ответе укажите какое-нибудь одно такое число.
|
20 | Велосипедист едет со скоростью 15 км/ч. На сколько километров в час ему нужно увеличить скорость, чтобы сэкономить минуту на каждом километре?
|
21 | Взяли несколько досок и распилили их. Всего сделали 9 поперечных распилов, в итоге получилось 17 кусков. Сколько досок взяли?
|
| Авторизация через | ![]() |
Сборник предназначен для самостоятельной подготовки к выпускным экзаменам. Благодаря тестовым заданиям из открытого банка заданий, вы можете проверить свои знания и определить, насколько подготовлены к соответствующим экзаменам. Также этот сборник будет полезен учителям, которые могут использовать его для контроля результатов освоения школьниками образовательных программ основного общего образования и интенсивной подготовки учащихся.
При выполнении заданий на экзаменах можно пользоваться черновиком. Записи в черновике не учитываются при оценивании работы. Баллы, полученные Вами за выполненные задания, суммируются. Постарайтесь выполнить как можно больше заданий и набрать наибольшее количество баллов.
Желаем успехов при сдаче экзаменов!
| < Предыдущий | Следующий > |