| < Предыдущий | Следующий > |
1 | Найдите значение выражения
|
2 | Автомобиль проехал 17 километров за 15 минут. Сколько километров он проедет за 18 минут, если будет ехать с той же скоростью?
|
3 | Установите соответствие между величинами и их возможными значениями: к каждому элементу первого столбца подберите соответствующий элемент из второго столбца.
|
4 | На диаграмме показана средняя цена алюминия во все месяцы 2017 и 2018 годов. По горизонтали указаны месяцы, по вертикали — средняя цена тонны алюминия в долларах США.
Определите по диаграмме, сколько месяцев в 2018 году средняя цена тонны алюминия была выше 2000 долларов США.
|
5 | На клетчатой бумаге с размером клетки 1x1 изображён параллелограмм. Найдите его площадь.
|
6 | В школе мальчики составляют 56 % числа всех учащихся. Сколько в этой школе всего учащихся, если мальчиков в ней на 54 человека больше, чем девочек?
|
7 | Найдите значение выражения
|
8 | Потенциальная энергия тела (в джоулях) в поле тяготения Земли вблизи поверхности вычисляется по формуле E = mgh, где m — масса тела (в килограммах), g — гравитационная постоянная (в м/с2), a h — высота (в метрах), на которой находится это тело, относительно условного нуля. Пользуясь этой формулой, найдите m (в килограммах), если g = 9,8 м/с2, h = 5 м, а E = 196 Дж.
|
9 | Найдите корень уравнения
|
10 | Участок земли имеет прямоугольную форму. Стороны прямоугольника равны 35 м и 70 м. Найдите длину забора (в метрах), которым нужно огородить участок, предусмотрев проезд шириной 4 м.
|
11 | В фирме такси в данный момент свободно 15 машин: 3 чёрных, 6 жёлтых и 6 зелёных. По вызову выехала одна из машин, случайно оказавшаяся ближе всего к заказчику. Найдите вероятность того, что к нему приедет жёлтое такси.
|
12 | Для транспортировки 42 тонн груза на 1200 км можно воспользоваться услугами одной из трёх фирм-перевозчиков. Стоимость перевозки и грузоподъёмность автомобилей каждого перевозчика указаны в таблице.
Сколько рублей придётся заплатить за самую дешёвую перевозку?
|
13 | Прямолинейный участок трубы длиной 6 м, имеющей в сечении окружность, необходимо покрасить снаружи (торцы трубы открыты, их красить не нужно). Найдите площадь поверхности, которую необходимо покрасить, если внешний обхват трубы равен 14 см. Ответ дайте в квадратных сантиметрах.
|
14 | На рисунках изображены графики функций вида y = kx + b. Установите соответствие между графиками функций и значениями их производной в точке x = 1. ГРАФИКИ
ЗНАЧЕНИЯ ПРОИЗВОДНОЙ 1) 4/3; 2) 0,5; 3) -1,25; 4) -1
|
15 | На клетчатой бумаге нарисованы два круга. Площадь внутреннего круга равна 16. Найдите площадь заштрихованной фигуры.
|
16 | Найдите объём правильной четырёхугольной пирамиды, сторона основания которой равна 6, а боковое ребро равно 3√3.
|
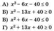
17 | Каждому из четырёх неравенств в левом столбце соответствует одно из решений в правом столбце. Установите соответствие между неравенствами и их решениями.
|
18 | Хозяйка к празднику купила торт, ананас, сок и мясную нарезку. Торт стоил дороже ананаса, но дешевле мясной нарезки, сок стоил дешевле торта. Выберите утверждения, которые верны при указанных условиях. 1) Ананас стоил дешевле мясной нарезки. 2) За сок заплатили больше, чем за мясную нарезку. 3) Мясная нарезка — самая дорогая из покупок. 4) Торт — самая дешёвая из покупок.
|
19 | Найдите трёхзначное число А, обладающее всеми следующими свойствами: • сумма цифр числа А делится на 12; • сумма цифр числа А + 6 делится на 12.
|
20 | В сосуд, содержащий 6 литров 30-процентного водного раствора вещества, добавили 4 литра воды. Сколько процентов составляет концентрация получившегося раствора?
|
21 | Прямоугольник разбит на четыре меньших прямоугольника двумя прямолинейными разрезами. Площади трёх из них, начиная с левого верхнего и далее по часовой стрелке, равны 14, 21 и 27. Найдите площадь четвёртого прямоугольника.
|
| Авторизация через | ![]() |
Сборник предназначен для самостоятельной подготовки к выпускным экзаменам. Благодаря тестовым заданиям из открытого банка заданий, вы можете проверить свои знания и определить, насколько подготовлены к соответствующим экзаменам. Также этот сборник будет полезен учителям, которые могут использовать его для контроля результатов освоения школьниками образовательных программ основного общего образования и интенсивной подготовки учащихся.
При выполнении заданий на экзаменах можно пользоваться черновиком. Записи в черновике не учитываются при оценивании работы. Баллы, полученные Вами за выполненные задания, суммируются. Постарайтесь выполнить как можно больше заданий и набрать наибольшее количество баллов.
Желаем успехов при сдаче экзаменов!
| < Предыдущий | Следующий > |