| < Предыдущий | Следующий > |
1 | Найдите значение выражения
|
2 | Каждый день во время конференции расходуется 90 пакетиков чая. Конференция длится 7 дней. В пачке чая 100 пакетиков. Какого наименьшего количества пачек чая хватит на все дни конференции?
|
3 | Установите соответствие между величинами и их возможными значениями: к каждому элементу первого столбца подберите соответствующий элемент из второго столбца.
|
4 | Результаты соревнований по метанию молота представлены в таблице.
Места распределяются по результату лучшей попытки каждого спортсмена: чем дальше он метнул молот, тем лучше. Какое место занял спортсмен Лаптев?
| |||||||||||||||||||||||||||||||||||||||||
5 | На фрагменте географической карты схематично изображены очертания Центрального пруда города Одинцово с островом (площадь одной клетки равна 400 м2). Оцените приближённо площадь Центрального пруда, включая остров. Ответ дайте в квадратных метрах.
|
6 | Магазин делает пенсионерам скидку. Десяток яиц стоит в магазине 70 рублей, а пенсионер заплатил за них 65 рублей 10 копеек. Сколько процентов составила скидка для пенсионера?
|
7 | Найдите значение выражения
|
8 | Радиус окружности, описанной около треугольника, можно вычислить по формуле
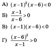
|
9 | Найдите корень уравнения
|
10 | Дачный участок имеет форму прямоугольника со сторонами 22 метра и 30 метров. Хозяин планирует обнести его забором и разделить таким же забором на две части, одна из которых имеет форму квадрата. Найдите суммарную длину забора в метрах.
|
11 | В фирме такси в наличии 20 легковых автомобилей: 11 из них чёрного цвета с жёлтыми надписями на боках, остальные — жёлтого цвета с чёрными надписями. Найдите вероятность того, что на случайный вызов приедет машина жёлтого цвета с чёрными надписями.
|
12 | Семья из трёх человек планирует поехать из Москвы в Чебоксары. Можно ехать поездом, а можно — на своей машине. Билет на поезд на одного человека стоит 1615 рублей. Автомобиль расходует 9 литров бензина на 100 километров пути, расстояние по шоссе равно 700 км, а цена бензина 48 рублей за литр. Сколько рублей придётся заплатить за наиболее дешёвую поездку на троих?
|
13 | Деталь имеет форму изображённого на рисунке многогранника (все двугранные углы прямые). Числа на рисунке обозначают длины рёбер в сантиметрах. Найдите объём этой детали. Ответ дайте в кубических сантиметрах.
|
14 | На графике изображена зависимость частоты пульса гимнаста от времени в течение и после его выступления в вольных упражнениях. На горизонтальной оси отмечено время (в минутах), прошедшее с начала выступления гимнаста, на вертикальной оси — частота пульса (в ударах в минуту). Пользуясь графиком, поставьте в соответствие каждому интервалу времени характеристику пульса гимнаста на этом интервале.
|
15 | На окружности радиуса √10 отмечена точка C. Отрезок АВ — диаметр окружности, АС = 6. Найдите ВС.
|
16 | Сторона основания правильной шестиугольной пирамиды равна 10, боковое ребро равно 13. Найдите площадь боковой поверхности этой пирамиды.
|
17 | Каждому из четырёх неравенств в левом столбце соответствует одно из решений в правом столбце. Установите соответствие между неравенствами и их решениями.
|
18 | В классе учатся 30 человек, из них 20 человек посещают кружок по биологии, а 16 — кружок по географии. Выберите утверждения, которые верны при указанных условиях. 1) Найдутся хотя бы двое из этого класса, кто посещает оба кружка. 2) Если ученик из этого класса ходит на кружок по биологии, то он обязательно ходит на кружок по географии. 3) Каждый ученик из этого класса посещает оба кружка. 4) Не найдётся 17 человек из этого класса, которые посещают оба кружка.
|
19 | На шести карточках написаны цифры 2; 5; 7; 8; 9; 9 (по одной цифре на каждой карточке). В выражении
вместо каждого квадратика положили карточку из данного набора. Оказалось, что полученная сумма делится на 10, но не делится на 20. В ответе укажите какую-нибудь одну такую сумму.
|
20 | Дорога между пунктами А и В состоит из подъема и спуска, а её длина равна 26 км. Турист прошёл путь из А в В за 6 часов, из которых спуск занял 4 часа. На подъёме скорость туриста на 2 км/ч меньше скорости на спуске. Найдите скорость туриста на спуске. Ответ дайте в км/ч.
|
21 | На ленте по разные стороны от середины отмечены две тонкие поперечные полоски: синяя и красная. Если разрезать ленту по красной полоске, то одна часть будет на 25 см длиннее другой. Если разрезать ленту по синей полоске, то одна часть будет на 5 см длиннее другой. Найдите расстояние (в сантиметрах) между красной и синей полосками.
|
| Авторизация через | ![]() |
Сборник предназначен для самостоятельной подготовки к выпускным экзаменам. Благодаря тестовым заданиям из открытого банка заданий, вы можете проверить свои знания и определить, насколько подготовлены к соответствующим экзаменам. Также этот сборник будет полезен учителям, которые могут использовать его для контроля результатов освоения школьниками образовательных программ основного общего образования и интенсивной подготовки учащихся.
При выполнении заданий на экзаменах можно пользоваться черновиком. Записи в черновике не учитываются при оценивании работы. Баллы, полученные Вами за выполненные задания, суммируются. Постарайтесь выполнить как можно больше заданий и набрать наибольшее количество баллов.
Желаем успехов при сдаче экзаменов!
| < Предыдущий | Следующий > |