| < Предыдущий | Следующий > |
1 | Найдите значение выражения
|
2 | На бензоколонке один литр бензина стоит 46 руб. 20 коп. Водитель залил в бак 30 литров бензина и взял бутылку воды за 41 рубль. Сколько рублей сдачи он должен получить с 1500 рублей?
|
3 | Установите соответствие между величинами и их возможными значениями: к каждому элементу первого столбца подберите соответствующий элемент из второго столбца.
|
4 | На диаграмме приведены данные о средней температуре в Санкт-Петербурге и Волгограде во все месяцы 2019 года. По горизонтали указываются месяцы, по вертикали — температура в градусах Цельсия.
Определите по диаграмме количество месяцев в 2019 году, когда средняя температура в Санкт-Петербурге была выше, чем в Волгограде.
|
5 | На клетчатой бумаге с размером клетки 1x1 изображена трапеция. Найдите её площадь.
|
6 | Поступивший в продажу в апреле мобильный телефон стоил 7000 рублей. В августе он стал стоить 5530 рублей. На сколько процентов снизилась цена на мобильный телефон в период с апреля по август?
|
7 | Найдите значение выражения
|
8 | Площадь прямоугольника можно вычислить по формуле
|
9 | Найдите корень уравнения
|
10 | На плане указано, что прямоугольная комната имеет площадь 32,2 кв. м. Точные измерения показали, что ширина комнаты равна 5,3 м, а длина 6 м. На сколько квадратных метров площадь комнаты меньше площади, указанной на плане?
|
11 | В коробке вперемешку лежат чайные пакетики с чёрным и зелёным чаем, одинаковые на вид, причём пакетиков с чёрным чаем в полтора раза больше, чем пакетиков с зелёным. Найдите вероятность того, что случайно выбранный из этой коробки пакетик окажется пакетиком с чёрным чаем.
|
12 | Рейтинговое агентство определяет рейтинг микроволновых печей на основе средней цены Р (в рублях за штуку), а также показателей функциональности F, качества Q и дизайна D. Рейтинг R вычисляется по формуле
В таблице даны цены и показатели четырёх моделей микроволновых печей.
Найдите наименьший рейтинг микроволновой печи из представленных в таблице моделей.
|
13 | В бак цилиндрической формы, площадь основания которого равна 80 квадратным сантиметрам, налита жидкость. Чтобы измерить объём детали сложной формы, её полностью погружают в эту жидкость. Найдите объём детали, если после её погружения уровень жидкости в баке поднялся на 15 см. Ответ дайте в кубических сантиметрах.
|
14 | На рисунках изображены графики функций вида у =kx + b. Установите соответствие между графиками функций и угловыми коэффициентами прямых. ГРАФИКИ
УГЛОВЫЕ КОЭФФИЦИЕНТЫ 1) -3; 2) 1,5; 3) 0,6; 4) -0,25
|
15 | Основания трапеции равны 10 и 22, боковая сторона, равная 9, образует с одним из оснований трапеции угол 150°. Найдите площадь трапеции.
|
16 | В основании прямой призмы лежит прямоугольный треугольник, катеты которого равны 2 и 18. Найдите объём призмы, если её высота равна 3.
|
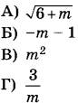
17 | Число m равно √0,5. Каждому из четырёх чисел в левом столбце соответствует отрезок, которому оно принадлежит. Установите соответствие между числами и отрезками из правого столбца.
|
18 | Гитарист Андрей выступает на концертах только со своей гитарой. Также Андрей обязательно берёт с собой гитару в поход. Выберите утверждения, которые верны при приведённых условиях. 1) Каждый раз, когда Андрей берёт с собой гитару, он будет выступать на концерте. 2) В любое время, когда Андрей не в походе, у него нет с собой гитары. 3) Если Андрей без гитары, значит, он не в походе. 4) Если в субботу Андрей будет выступать на концерте, посвящённом Дню Победы, то он в субботу будет со своей гитарой.
|
19 | Найдите четырёхзначное число, кратное 88, все цифры которого различны и чётны. В ответе укажите какое-нибудь одно такое число.
|
20 | Катя от пристани А до пристани Б озера Белое добралась на катере «Комета» на 5 минут быстрее, чем обратно на катере «Ракета». Найдите расстояние между пристанями А и Б, если скорость «Кометы» 24 км/ч, а «Ракеты» — 18 км/ч. Ответ выразите в километрах.
|
21 | На прилавке цветочного магазина стоят 3 вазы с розами: жёлтая, зелёная и красная. Слева от зелёной вазы 21 роза, справа от жёлтой вазы 31 роза. Всего в вазах 40 роз. Сколько роз в красной вазе?
|
| Авторизация через | ![]() |
Сборник предназначен для самостоятельной подготовки к выпускным экзаменам. Благодаря тестовым заданиям из открытого банка заданий, вы можете проверить свои знания и определить, насколько подготовлены к соответствующим экзаменам. Также этот сборник будет полезен учителям, которые могут использовать его для контроля результатов освоения школьниками образовательных программ основного общего образования и интенсивной подготовки учащихся.
При выполнении заданий на экзаменах можно пользоваться черновиком. Записи в черновике не учитываются при оценивании работы. Баллы, полученные Вами за выполненные задания, суммируются. Постарайтесь выполнить как можно больше заданий и набрать наибольшее количество баллов.
Желаем успехов при сдаче экзаменов!
| < Предыдущий | Следующий > |