| < Предыдущий | Следующий > |
1 | Найдите значение выражения
|
2 | Килограмм винограда стоит 140 рублей. Аня купила 2 кг 500 г винограда. Сколько рублей сдачи она должна была получить с 1000 рублей?
|
3 | Установите соответствие между величинами и их возможными значениями: к каждому элементу первого столбца подберите соответствующий элемент из второго столбца.
|
4 | На рисунке жирными точками показана средняя цена нефти марки Brent во все месяцы 2017 года. По горизонтали указаны месяцы, по вертикали — цена 1 барреля нефти в долларах США. Для наглядности точки соединены отрезками.
Определите, на сколько долларов США средняя цена барреля нефти в декабре была выше, чем в июне 2017 года.
|
5 | На фрагменте географической карты схематично изображены очертания водоёмов парка «Усадьба Троекурово» (длина стороны квадратной клетки равна 50 м). Оцените приближённо площадь Верхнего Троекуровского пруда, включая остров. Ответ дайте в квадратных метрах с округлением до целого значения.
|
6 | В период распродажи магазин снижал цены дважды: в первый раз на 15%, во второй — на 25 %. Сколько рублей стал стоить чайник после второго снижения цен, если до начала распродажи он стоил 2000 рублей?
|
7 | Найдите значение выражения (0,1)^3∙10^4∙2^3
|
8 | Теорему синусов можно записать в виде
|
9 | Найдите корень уравнения -2(-5 – 3x) – 5x = -2.
|
10 | Участок земли для строительства дачи имеет форму прямоугольника, стороны которого равны 50 м и 30 м. Одна из больших сторон участка идет вдоль реки, а три остальные стороны нужно огородить забором. Найдите длину этого забора. Ответ дайте в метрах.
|
11 | На олимпиаде по русскому языку участников рассаживают по трём аудиториям. В первых двух аудиториях сажают по 110 человек, оставшихся проводят в запасную аудиторию в другом корпусе. При подсчёте выяснилось, что всего было 400 участников. Найдите вероятность того, что случайно выбранный участник писал олимпиаду в запасной аудитории.
|
12 | Дмитрий хочет взять в аренду на 8 дней небольшой внедорожник для поездки в горы протяжённостью 4500 км. В прокатной компании есть две подходящих машины. Укажите внедорожник с наименьшей полной стоимостью аренды, исходя из данных, указанных в таблице. В ответе укажите полную стоимость аренды этой машины в рублях.
| ||||||||||||
13 | В сосуде, имеющем форму конуса, уровень жидкости достигает 2/7 высоты сосуда. Объём жидкости равен 40 мл. Сколько миллилитров жидкости нужно долить, чтобы наполнить сосуд доверху?
|
14 | В таблице указаны доходы и расходы фирмы за 5 месяцев.
Пользуясь таблицей, поставьте в соответствие каждому из указанных периодов времени характеристику доходов и расходов.
|
15 | В параллелограмме ABCD проведена биссектриса угла А, пересекающая сторону ВС в точке К. Найдите КС, если ВС = 9, а периметр параллелограмма равен 30.
|
16 | Даны два шара с радиусами 8 и 4. Во сколько раз площадь поверхности большего шара больше площади поверхности меньшего?
|
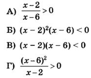
17 | Каждому из четырёх неравенств в левом столбце соответствует одно из решений в правом столбце. Установите соответствие между неравенствами и их решениями.
|
18 | В группе учится 30 студентов, из них 20 человек сдали зачёт по экономике и 20 сдали зачёт по английскому языку. Выберите утверждения, которые верны при указанных условиях. 1) В этой группе найдётся 11 студентов, не сдавших ни одного из этих двух зачётов. 2) Хотя бы 10 студентов из этой группы сдали зачёты и по экономике, и по английскому языку. 3) Не более 20 студентов из этой группы сдали зачёты и по экономике, и по английскому языку. 4) В этой группе найдётся 20 студентов, которые не сдали зачёта по английскому языку, но сдали зачёт по экономике.
|
19 | Найдите трёхзначное натуральное число, которое при делении и на 5, и на 16 даёт равные ненулевые остатки и первая цифра слева в записи которого является суммой двух других цифр. В ответе укажите какое-нибудь одно такое число.
|
20 | Лодка и катер одновременно отправились навстречу друг другу из пунктов А и Б и встретились через 4,5 часа. Продолжив движение после встречи, лодка прибыла в пункт Б через 7,5 часа. Через сколько часов после встречи катер прибыл в пункт А?
|
21 | Саша пригласил Петю в гости, сказав, что живёт в восьмом подъезде в квартире № 468, а этаж сказать забыл. Подойдя к дому, Петя обнаружил, что дом двенадцатиэтажный. На каком этаже живёт Саша? (На всех этажах число квартир одинаково, нумерация квартир в доме начинается с единицы.)
|
| Авторизация через | ![]() |
Сборник предназначен для самостоятельной подготовки к выпускным экзаменам. Благодаря тестовым заданиям из открытого банка заданий, вы можете проверить свои знания и определить, насколько подготовлены к соответствующим экзаменам. Также этот сборник будет полезен учителям, которые могут использовать его для контроля результатов освоения школьниками образовательных программ основного общего образования и интенсивной подготовки учащихся.
При выполнении заданий на экзаменах можно пользоваться черновиком. Записи в черновике не учитываются при оценивании работы. Баллы, полученные Вами за выполненные задания, суммируются. Постарайтесь выполнить как можно больше заданий и набрать наибольшее количество баллов.
Желаем успехов при сдаче экзаменов!
| < Предыдущий | Следующий > |