| < Предыдущий | Следующий > |
1 | Найдите значение выражения
|
2 | Стоимость проездного билета на месяц составляет 1150 рублей, а стоимость билета на одну поездку — 40 рублей. Аня купила проездной и сделала за месяц 37 поездок. На сколько рублей больше она бы потратила, если бы покупала билеты на одну поездку?
|
3 | Установите соответствие между величинами и их возможными значениями: к каждому элементу первого столбца подберите соответствующий элемент из второго столбца.
|
4 | На рисунке показано изменение атмосферного давления в течение трёх суток. По горизонтали указаны дни недели и время, по вертикали — значения атмосферного давления в миллиметрах ртутного столба.
Определите по рисунку значение атмосферного давления в среду в 18:00. Ответ дайте в миллиметрах ртутного столба.
|
5 | На клетчатой бумаге с размером клетки 1x1 изображён треугольник ABC. Найдите длину его средней линии, параллельной стороне АВ.
|
6 | На пост председателя школьного совета претендовали два кандидата. В голосовании приняли участие 175 человек. Голоса между кандидатами распределились в отношении 3:4. Сколько голосов получил проигравший?
|
7 | Найдите значение выражения
|
8 | Среднее гармоническое трёх чисел a, b и c вычисляется по формуле . Найдите среднее гармоническое чисел 1/4, 1/5 и 1.
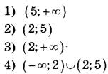
|
9 | Найдите корень уравнения 3x – 4 = 8x + 5
|
10 | Дачный участок имеет форму прямоугольника, стороны которого равны 35 м и 40 м. Дом, расположенный на участке, на плане также имеет форму прямоугольника, стороны которого равны 7 м и 6 м. Найдите площадь оставшейся части участка, не занятой домом. Ответ дайте в квадратных метрах.
|
11 | В гонке с раздельным стартом участвуют 65 лыжников, среди которых 9 спортсменов из Германии. Порядок старта определяется случайным образом с помощью жребия. Известно, что последним по порядку стартует лыжник из Германии. Найдите вероятность того, что предпоследним будет стартовать тоже представитель Германии.
|
12 | Телефонная компания предоставляет на выбор три тарифных плана.
Абонент предполагает, что общая длительность разговоров составит 700 минут в месяц, и, исходя из этого, выбирает наиболее дешёвый тарифный план. Сколько рублей должен будет заплатить абонент за месяц, если общая длительность разговоров действительно будет равна 700 минутам?
|
13 | Аквариум имеет форму прямоугольного параллелепипеда с размерами 70 см х 20 см х 60 см. Сколько литров составляет объём аквариума? В одном литре 1000 кубических сантиметров.
|
14 | На рисунке точками показан прирост населения Китая в период с 2004 по 2013 год. По горизонтали указывается год, по вертикали — прирост населения в процентах (увеличение численности населения относительно прошлого года). Для наглядности точки соединены линией.
Пользуясь рисунком, поставьте в соответствие каждому из указанных периодов времени характеристику прироста населения Китая в этот период.
|
15 | Стороны параллелограмма равны 20 и 130. Высота, опущенная на большую сторону, равна 12. Найдите высоту, опущенную на меньшую сторону параллелограмма.
|
16 | Через точку, делящую высоту конуса в отношении 1:2, считая от вершины, проведена плоскость, параллельная основанию. Найдите объём этого конуса, если объём конуса, отсекаемого от данного конуса проведённой плоскостью, равен 20.
|
17 | Каждому из четырёх неравенств в левом столбце соответствует одно из решений в правом столбце. Установите соответствие между неравенствами и их решениями.
|
18 | В жилых домах, в которых больше 5 этажей, установлен лифт. Выберите утверждения, которые верны при приведённом условии. 1) Если в жилом доме нет лифта, то в этом доме больше 6 этажей. 2) Если в жилом доме лифта нет, то в этом доме меньше 6 этажей. 3) Если в жилом доме больше 8 этажей, то в нём нет лифта. 4) Если в жилом доме больше 7 этажей, то в нём есть лифт.
|
19 | Найдите пятизначное число, кратное 22, любые две соседние цифры которого отличаются на 3. В ответе укажите какое-нибудь одно такое число.
|
20 | Моторная лодка и плот одновременно отчалили от пристани и стали двигаться в противоположных направлениях. Через 3 ч расстояние между ними было равно 48 км, а расстояние от лодки до пристани было равно 36 км. Найдите скорость течения. Ответ дайте в км/ч.
|
21 | Восемь столбов соединены между собой проводами так, что от каждого столба отходит ровно 5 проводов. Сколько всего проводов протянуто между этими восемью столбами?
|
| Авторизация через | ![]() |
Сборник предназначен для самостоятельной подготовки к выпускным экзаменам. Благодаря тестовым заданиям из открытого банка заданий, вы можете проверить свои знания и определить, насколько подготовлены к соответствующим экзаменам. Также этот сборник будет полезен учителям, которые могут использовать его для контроля результатов освоения школьниками образовательных программ основного общего образования и интенсивной подготовки учащихся.
При выполнении заданий на экзаменах можно пользоваться черновиком. Записи в черновике не учитываются при оценивании работы. Баллы, полученные Вами за выполненные задания, суммируются. Постарайтесь выполнить как можно больше заданий и набрать наибольшее количество баллов.
Желаем успехов при сдаче экзаменов!
| < Предыдущий | Следующий > |