| < Предыдущий | Следующий > |
1 | Найдите значение выражения
|
2 | За 20 минут автобус проехал 23 километра. Сколько километров он проедет за 35 минут, если будет ехать с той же скоростью?
|
3 | Установите соответствие между величинами и их возможными значениями: к каждому элементу первого столбца подберите соответствующий элемент из второго столбца.
|
4 | На диаграмме показана средняя цена меди во все месяцы 2017 и 2018 годов. По горизонтали указаны месяцы, по вертикали — средняя цена тонны меди в долларах США.
Определите по диаграмме, сколько месяцев в 2017 году средняя цена тонны алюминия была выше 6400 долларов США.
|
5 | На клетчатой бумаге с размером клетки 1x1 изображён параллелограмм. Найдите его площадь.
|
6 | В школе девочки составляют 60 % числа всех учащихся. Сколько в этой школе всего учащихся, если девочек в ней на 105 человек больше, чем мальчиков?
|
7 | Найдите значение выражения
|
8 | Потенциальная энергия тела (в джоулях) в поле тяготения Земли вблизи поверхности вычисляется по формуле E = mgh, где m — масса тела (в килограммах), g — гравитационная постоянная (в м/с2), a h — высота (в метрах), на которой находится это тело, относительно условного нуля. Пользуясь этой формулой, найдите m (в килограммах), если g = 9,8 м/с2, h = 0,5 м, а E = 49 Дж.
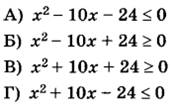
|
9 | Найдите корень уравнения
|
10 | Участок земли имеет прямоугольную форму. Стороны прямоугольника равны 40 м и 55 м. Найдите длину забора (в метрах), которым нужно огородить участок, предусмотрев проезд шириной 3 м.
|
11 | В фирме такси в данный момент свободно 20 машин: 8 чёрных, 7 жёлтых и 5 зелёных. По вызову выехала одна из машин, случайно оказавшаяся ближе всего к заказчику. Найдите вероятность того, что к нему приедет жёлтое такси.
|
12 | Для транспортировки 46 тонн груза на 800 км можно воспользоваться услугами одной из трёх фирм-перевозчиков. Стоимость перевозки и грузоподъёмность автомобилей каждого перевозчика указаны в таблице.
Сколько рублей придётся заплатить за самую дешёвую перевозку?
|
13 | Прямолинейный участок трубы длиной 3 м, имеющей в сечении окружность, необходимо покрасить снаружи (торцы трубы открыты, их красить не нужно). Найдите площадь поверхности, которую необходимо покрасить, если внешний обхват трубы равен 46 см. Ответ дайте в квадратных сантиметрах.
|
14 | На рисунках изображены графики функций вида y = kx + b. Установите соответствие между графиками функций и значениями их производной в точке х=1. ГРАФИКИ
ЗНАЧЕНИЯ ПРОИЗВОДНОЙ 1) -2,5; 2) -0,4 5; 3) 5/3; 4) 1
|
15 | На клетчатой бумаге нарисованы два круга. Площадь внутреннего круга равна 8. Найдите площадь заштрихованной фигуры.
|
16 | Найдите объём правильной четырёхугольной пирамиды, сторона основания которой равна 6, а боковое ребро равно √67.
|
17 | Каждому из четырёх неравенств в левом столбце соответствует одно из решений в правом столбце. Установите соответствие между неравенствами и их решениями.
|
18 | Среди жителей дома № 23 есть те, кто работает, и есть те, кто учится. А также есть те, кто не работает и не учится. Некоторые жители дома № 23, которые учатся, ещё и работают. Выберите утверждения, которые верны при указанных условиях. 1) Хотя бы один из работающих жителей дома № 23 учится. 2) Все жители дома № 23 работают. 3) Среди жителей дома № 23 нет тех, кто не работает и не учится. 4) Хотя бы один из жителей дома № 23 работает.
|
19 | Найдите трёхзначное число А, обладающее всеми следующими свойствами: • сумма цифр числа А делится на 5; • сумма цифр числа (А + 4) делится на 5; • число А больше 350 и меньше 400.
|
20 | Сплавили два металлических слитка. Первый весил 180 г и содержал 15 % никеля, а второй весил 220 г и содержал 35 % никеля. Сколько процентов никеля в полученном сплаве?
|
21 | Прямоугольник разбит на четыре меньших прямоугольника двумя прямолинейными разрезами. Периметры трёх из них, начиная с левого верхнего и далее по часовой стрелке, равны 21, 11 и 4. Найдите периметр четвёртого прямоугольника.
|
| Авторизация через | ![]() |
Сборник предназначен для самостоятельной подготовки к выпускным экзаменам. Благодаря тестовым заданиям из открытого банка заданий, вы можете проверить свои знания и определить, насколько подготовлены к соответствующим экзаменам. Также этот сборник будет полезен учителям, которые могут использовать его для контроля результатов освоения школьниками образовательных программ основного общего образования и интенсивной подготовки учащихся.
При выполнении заданий на экзаменах можно пользоваться черновиком. Записи в черновике не учитываются при оценивании работы. Баллы, полученные Вами за выполненные задания, суммируются. Постарайтесь выполнить как можно больше заданий и набрать наибольшее количество баллов.
Желаем успехов при сдаче экзаменов!
| < Предыдущий | Следующий > |