| < Предыдущий | Следующий > |
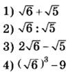
1 | Найдите значение выражения
|
2 | В доме, в котором живёт Петя, один подъезд. На каждом этаже по семь квартир. Петя живёт в квартире № 52. На каком этаже живёт Петя?
|
3 | Установите соответствие между величинами и их возможными значениями: к каждому элементу первого столбца подберите соответствующий элемент из второго столбца.
|
4 | На диаграмме показано количество посетителей сайта во все дни с 10 по 29 ноября 2020 года. По горизонтали указываются числа месяца, по вертикали — количество посетителей сайта за данный день.
Определите по диаграмме, какого числа количество посетителей сайта было наибольшим в период с 10 по 20 ноября 2020 года.
|
5 | На клетчатой бумаге с размером клетки 1x1 изображён равносторонний треугольник. Найдите радиус описанной около него окружности.
|
6 | Длины двух рек относятся как 8:9, при этом одна из них длиннее другой на 5 км. Найдите длину большей реки. Ответ дайте в километрах.
|
7 | Найдите sin α, если
|
8 | В фирме «Рулю!» стоимость поездки на такси длительностью меньше 5 минут составляет 180 рублей. Если поездка длится 5 минут или более, то её стоимость (в рублях) рассчитывается по формуле
|
9 | Найдите корень уравнения
|
10 | Какой наименьший угол (в градусах) образуют минутная и часовая стрелки часов в 14:00?
|
11 | В чемпионате по гимнастике участвуют 60 спортсменок: 23 из Испании, 16 из Франции, остальные — из Италии. Порядок, в котором выступают гимнастки, определяется жребием. Найдите вероятность того, что спортсменка, выступающая первой, окажется из Италии.
|
12 | В таблице 1 приведены минимальные баллы ЕГЭ по четырём предметам, необходимые для подачи документов на факультеты 1-6. Таблица 1
В таблице 2 приведены данные о баллах ЕГЭ по четырём предметам абитуриента В. Таблица 2
Выберите факультеты, на которые может подавать документы абитуриент В. В ответе укажите номера всех выбранных факультетов без пробелов, запятых и других дополнительных символов.
|
13 | В сосуде, имеющем форму конуса, уровень жидкости достигает 3/5 высоты. Объём жидкости равен 108 мл. Найдите объём сосуда. Ответ дайте в миллилитрах.
|
14 | На рисунке изображён график функции y = f(x) и отмечены точки А, В, С и D на оси Ох. Пользуясь графиком, поставьте в соответствие каждой точке характеристики функции и её производной.
|
15 | В параллелограмме ABCD отмечена точка М — середина стороны ВС. Отрезки BD и AM пересекаются в точке K. Найдите длину отрезка BK, если BD = 15.
|
16 | В прямоугольном параллелепипеде ABCDA1B1C1D1 рёбра ВС, ВА и диагональ ВС1 боковой грани равны соответственно 3, 7 и 3√5. Найдите объём параллелепипеда ABCDA1B1C1D1.
|
17 | На координатной прямой отмечены точки A, B, C и D.
Каждой точке соответствует одно из чисел в правом столбце. Установите соответствие между указанными точками и числами.
|
18 | В компании из 20 человек 15 пользуются социальной сетью «Одноклассники», а 10 — социальной сетью «ВКонтакте». Выберите утверждения, которые верны при указанных условиях. 1) В этой компании найдётся хотя бы 5 человек, пользующихся обеими сетями. 2) Найдётся 10 человек из этой компании, которые не пользуются ни сетью «Одноклассники», ни сетью «ВКонтакте». 3) Не более 10 человек из этой компании пользуются обеими сетями. 4) В этой компании не найдётся ни одного человека, пользующегося только сетью «Одноклассники».
|
19 | Найдите четырёхзначное число, кратное 18, произведение цифр которого равно 24. В ответе укажите какое-нибудь одно такое число.
|
20 | Свежие фрукты содержат 88 % воды, а высушенные — 30 %. Сколько требуется свежих фруктов для приготовления 6 кг высушенных фруктов?
|
21 | На кольцевой дороге расположено четыре бензоколонки: А, Б, В и Г. Расстояние между А и Б — 65 км, между А и В — 50 км, между В и Г — 35 км, между Г и А — 45 км (все расстояния измеряются вдоль кольцевой дороги по кратчайшей дуге). Найдите расстояние (в километрах) между Б и В.
|
| Авторизация через | ![]() |
Сборник предназначен для самостоятельной подготовки к выпускным экзаменам. Благодаря тестовым заданиям из открытого банка заданий, вы можете проверить свои знания и определить, насколько подготовлены к соответствующим экзаменам. Также этот сборник будет полезен учителям, которые могут использовать его для контроля результатов освоения школьниками образовательных программ основного общего образования и интенсивной подготовки учащихся.
При выполнении заданий на экзаменах можно пользоваться черновиком. Записи в черновике не учитываются при оценивании работы. Баллы, полученные Вами за выполненные задания, суммируются. Постарайтесь выполнить как можно больше заданий и набрать наибольшее количество баллов.
Желаем успехов при сдаче экзаменов!
| < Предыдущий | Следующий > |