| < Предыдущий | Следующий > |
1 | Найдите значение выражения
|
2 | В доме, в котором живёт Оля, один подъезд. На каждом этаже по шесть квартир. Оля живёт в квартире № 69. На каком этаже живёт Оля?
|
3 | Установите соответствие между величинами и их возможными значениями: к каждому элементу первого столбца подберите соответствующий элемент из второго столбца.
|
4 | На диаграмме показано количество посетителей сайта в течение каждого часа 3 мая 2021 года. По горизонтали указывается время (в часах), по вертикали — количество посетителей сайта на протяжении этого часа.
Определите по диаграмме, в течение какого часа на сайте побывало максимальное количество посетителей.
|
5 | На клетчатой бумаге с размером клетки 1x1 изображён равносторонний треугольник. Найдите радиус вписанной в него окружности.
|
6 | Длины двух рек относятся как 4:11, при этом одна из них длиннее другой на 70 км. Найдите длину большей реки. Ответ дайте в километрах.
|
7 | Найдите tg α, если
|
8 | В фирме «Родник» стоимость (в рублях) колодца из железобетонных колец рассчитывается по формуле С = 7500 + 5700n, где n — число колец, установленных при рытье колодца. Пользуясь этой формулой, рассчитайте стоимость колодца из 6 колец. Ответ дайте в рублях.
|
9 | Найдите корень уравнения
|
10 | Какой наименьший угол (в градусах) образуют минутная и часовая стрелки часов в 17:00?
|
11 | В соревнованиях по толканию ядра участвуют 4 спортсмена из Австрии, 9 спортсменов из Чехии, 7 спортсменов из Польши и 5 — из Словакии. Порядок, в котором выступают спортсмены, определяется жребием. Найдите вероятность того, что спортсмен, выступающий вторым, окажется из Чехии.
|
12 | В таблице 1 приведены минимальные баллы ЕГЭ по четырём предметам, необходимые для подачи документов на факультеты 1-6. Таблица 1
В таблице 2 приведены данные о баллах ЕГЭ по четырём предметам абитуриента В. Таблица 2
Выберите факультеты, на которые может подавать документы абитуриент В.
|
13 | В сосуде, имеющем форму конуса, уровень жидкости достигает 1/4 высоты. Объём жидкости равен 80 мл. Найдите объём сосуда. Ответ дайте в миллилитрах.
|
14 | На рисунке изображён график функции y = f(x) и отмечены точки А, В, С и D на оси Ох. Пользуясь графиком, поставьте в соответствие каждой точке характеристики функции и её производной.
|
15 | В параллелограмме ABCD отмечена точка М — середина стороны ВС. Отрезки BD и AM пересекаются в точке К. Найдите длину отрезка BK, если BD = 21.
|
16 | Сторона основания правильной треугольной призмы ABCA1B1C1 равна 1, а высота этой призмы равна 2√3. Найдите объём призмы ABCA1B1C1.
|
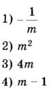
17 | На координатной прямой отмечены точки А, В, С и D.
Число m равно
|
18 | При взвешивании животных в зоопарке выяснилось, что буйвол тяжелее льва, медведь легче буйвола, а рысь легче льва. Выберите утверждения, которые верны при указанных условиях. 1) Рысь тяжелее буйвола. 2) Буйвол самый тяжёлый из всех этих животных. 3) Медведь тяжелее буйвола. 4) Рысь легче буйвола.
|
19 | Найдите четырёхзначное число, кратное 22, произведение цифр которого равно 40. В ответе укажите какое-нибудь одно такое число.
|
20 | Свежие фрукты содержат 84 % воды, а высушенные — 16 %. Сколько сухих фруктов получится из 231 кг свежих фруктов?
|
21 | На кольцевой дороге расположено четыре бензоколонки: А, Б, В и Г. Расстояние между А и Б — 50 км, между А и В — 30 км, между В и Г — 25 км, между Г и А — 45 км (все расстояния измеряются вдоль кольцевой дороги по кратчайшей дуге). Найдите расстояние (в километрах) между Б и В.
|
| Авторизация через | ![]() |
Сборник предназначен для самостоятельной подготовки к выпускным экзаменам. Благодаря тестовым заданиям из открытого банка заданий, вы можете проверить свои знания и определить, насколько подготовлены к соответствующим экзаменам. Также этот сборник будет полезен учителям, которые могут использовать его для контроля результатов освоения школьниками образовательных программ основного общего образования и интенсивной подготовки учащихся.
При выполнении заданий на экзаменах можно пользоваться черновиком. Записи в черновике не учитываются при оценивании работы. Баллы, полученные Вами за выполненные задания, суммируются. Постарайтесь выполнить как можно больше заданий и набрать наибольшее количество баллов.
Желаем успехов при сдаче экзаменов!
| < Предыдущий | Следующий > |