ЕГЭ и ОГЭ
Главная

Решение 3153. Пучок монохроматического света переходит из воздуха в воду. Частота световой волны — v; длина световой волны в воде — λ; показатель преломления воды относительно воздуха — n. Установите соответствие

Задание 18. Пучок монохроматического света переходит из воздуха в воду. Частота световой волны — v; длина световой волны в воде — λ; показатель преломления воды относительно воздуха — n.

Установите соответствие между физическими величинами и формулами, по которым их можно рассчитать.

ФИЗИЧЕСКИЕ ВЕЛИЧИНЫ

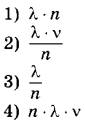
А) скорость света в воздухе

Б) длина волны света в воздухе

ФОРМУЛЫ

Решение.

А) Показатель преломления воды относительно воздуха можно записать так:

Скорость света в воздухе, равна:

           (1)

Б) Учитывая, что , из (1) получаем длину волны света в воздухе:

Ответ: 41.


Другие задания:

Темы раздела

Для наших пользователей доступны следующие материалы: