ЕГЭ и ОГЭ
Главная

Решение 2942. Выражения А и Б определяют зависимость координат двух тел от времени. Установите соответствие между зависимостью координаты тела от времени и зависимостью проекции скорости от времени для этого же тела

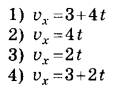
Задание 7. Выражения А и Б определяют зависимость координат двух тел от времени. Установите соответствие между зависимостью координаты тела от времени и зависимостью проекции скорости от времени для этого же тела (все величины заданы в СИ).

КООРДИНАТА

СКОРОСТЬ

Решение.

А) Закон изменения скорости тела можно получить путем вычисления производной от пути по времени:

Б) Действуем по аналогии, получаем:

Ответ: 21.


Другие задания:

Темы раздела

Для наших пользователей доступны следующие материалы: