| < Предыдущий | Следующий > |
1 | Координата тела x меняется с течением t времени согласно закону x = 4+3t-5t^2, где все величины выражены в СИ. Определите проекцию ускорения ax этого тела.
|
2 | Камень массой 200 г брошен под углом 60° к горизонту с начальной скоростью v = 20 м/с. Определите модуль силы тяжести, действующей на камень в верхней точке траектории.
|
3 | Шарик массой 100 г падает с высоты 10 м нулевой начальной скоростью. К моменту падения на землю потеря полной механической энергии за счёт сопротивления воздуха составила 10 %. Какова кинетическая энергия шарика в этот момент?
|
4 | Шар плотностью 2,5 г/см3 и объёмом 400 см3 целиком опущен в воду. Определите архимедову силу, действующую на шар.
|
5 | В таблице представлены данные о положении шарика, колеблющегося вдоль оси Ох, в различные моменты времени.
Из приведённого ниже списка выберите два правильных утверждения, описывающих наблюдаемое явление. 1) Потенциальная энергия шарика максимальна в момент времени 1 с. 2) Период колебаний шарика равен 4 с. 3) Кинетическая энергия шарика минимальна в момент времени 2 с. 4) Амплитуда колебаний шарика равна 30 мм. 5) Полная механическая энергия шарика минимальна в момент времени 3 с.
|
6 | В результате перехода с одной круговой орбиты на другую скорость движения искусственного спутника Земли уменьшается. Как изменяются в результате этого перехода центростремительное ускорение спутника и период его обращения вокруг Земли? Для каждой величины определите соответствующий характер изменения: 1) увеличивается 2) уменьшается 3) не изменяется
|
7 | На рисунке показан график зависимости координаты x тела, движущегося вдоль оси Ох, от времени t (парабола). Графики А и Б представляют собой зависимости физических величин, характеризующих движение этого тела, от времени t.
Установите соответствие между графиками и физическими величинами, зависимости которых от времени эти графики могут представлять. К каждой позиции первого столбца подберите соответствующую позицию из второго столбца и запишите в таблицу выбранные цифры под соответствующими буквами.
|
8 | Температура гелия увеличилась с 27 °С до 327 °С. Во сколько раз увеличилась средняя кинетическая энергия теплового движения его молекул?
|
9 | Относительная влажность воздуха при температуре 100 °С равна 60%. Определите парциальное давление водяных паров, содержащихся в воздухе.
|
10 | Тепловая машина с КПД 30% за цикл работы отдаёт холодильнику количество теплоты, равное 70 Дж. Какое количество теплоты машина получает за цикл от нагревателя?
|
11 | На рисунке показан график циклического процесса, проведённого с одноатомным идеальным газом, в координатах V-T, где V — объём газа, Т — абсолютная температура газа. Количество вещества газа постоянно.
Из приведённого ниже списка выберите два правильных утверждения, характеризующие процессы на графике. 1) Газ за цикл не совершает работу. 2) Давление газа в процесс АВ постоянно, при этом внешние силы над газом совершают положительную работу. 3) В процессе ВС газ получает положительное количество теплоты. 4) В процессе CD внутренняя энергия газа уменьшается. 5) В процессе DA давление газа изотермически увеличивается.
|
12 | В цилиндрическом сосуде под поршнем находится газ. Поршень может перемещаться в сосуде без трения. Из сосуда медленно выпускается половина массы газа при неизменной температуре. Как изменятся в результате этого объём газа и сила, действующая на поршень со стороны газа?
Для каждой величины определите соответствующий характер изменения: 1) увеличится 2) уменьшится 3) не изменится
|
13 | Как направлена относительно рисунка (вверх, вниз, влево, вправо, от наблюдателя, к наблюдателю) сила Ампера, действующая на проводник № 2 со стороны двух других (см. рисунок), если все проводники тонкие, длинные, прямые, лежат в одной плоскости, параллельны друг другу и расстояния между соседними проводниками одинаковы? (I — сила тока.)
|
14 | Через участок цепи (см. рисунок) течёт постоянный ток I = 6 А. Чему равна сила тока, которую показывает амперметр? Сопротивлением амперметра пренебречь.
|
15 | Луч света падает на плоское зеркало. Угол падения равен 30°. Чему равен угол между падающим и отражённым лучами?
|
16 | Две маленькие закреплённые бусинки, расположенные в точках А и В, несут на себе заряды +q > 0 и -2q соответственно (см. рисунок).
Из приведённого ниже списка выберите два правильных утверждения и укажите их номера. 1) На бусинку А со стороны бусинки В действует сила Кулона, направленная горизонтально влево. 2) Напряжённость результирующего электростатического поля в точке С направлена горизонтально вправо. 3) Модули сил Кулона, действующих на бусинки, одинаковы. 4) Если бусинки соединить медной проволокой, они будут притягивать друг друга. 5) Если бусинки соединить незаряженной стеклянной палочкой, их заряды станут равными.
|
17 | α-частица движется по окружности в однородном магнитном поле между полюсами магнита под действием силы Лоренца. После замены магнита по таким же траекториям стали двигаться протоны, обладающие той же скоростью. Как изменились индукция магнитного поля и модуль силы Лоренца? Для каждой величины определите соответствующий характер изменения: 1) увеличилась 2) уменьшилась 3) не изменилась
|
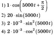
18 | Идеальный колебательный контур состоит из конденсатора и катушки индуктивностью 4 мГн. Заряд на пластинах конденсатора изменяется во времени в соответствии с формулой Установите соответствие между физическими величинами и формулами, выражающими их зависимость от времени в условиях данной задачи. К каждой позиции первого столбца подберите соответствующую позицию из второго столбца и запишите в таблицу выбранные цифры под соответствующими буквами.
|
19 | Укажите число протонов и число нейтронов в ядре изотопа фосфора
|
20 | Дан график зависимости числа нераспавшихся ядер висмута
|
21 | Ядро испытывает позитронный β-распад (среди продуктов распада есть позитрон Для каждой величины определите соответствующий характер изменения: 1) увеличивается 2) уменьшается 3) не изменяется
|
22 | С помощью барометра проводились измерения атмосферного давления. Верхняя шкала барометра проградуирована в мм рт. ст., а нижняя шкала — в гектопаскалях (гПа). Погрешность измерений давления равна цене деления шкалы барометра. Чему равно атмосферное давление по результатам этих измерений (в кПа)?
Запишите в ответ показания барометра с учётом погрешности измерений.
|
23 | Необходимо собрать экспериментальную установку, с помощью которой можно определить плотность алюминия. Для этого школьник взял стакан с водой и алюминиевый цилиндр с крючком. Какие две позиции из приведённого ниже перечня оборудования необходимо дополнительно использовать для проведения этого эксперимента? 1) электронные весы 2) мензурка 3) секундомер 4) термометр 5) пружина
|
24 | Рассмотрите таблицу, содержащую характеристики некоторых астероидов Солнечной системы.
* 1 а.е. составляет 150 млн км. ** Эксцентриситет орбиты определяется по формуле: Выберите два утверждения, которые соответствуют характеристикам астероидов. 1) Астероид Геба вращается по более «вытянутой» орбите, чем астероид Веста. 2) Большие полуоси орбит астероидов Церера и Паллада одинаковы, значит, они движутся по одной орбите друг за другом. 3) Средняя плотность астероида Церера составляет 400 кг/м3. 4) Первая космическая скорость для астероида Юнона составляет более 8 км/с. 5) Орбита астероида Аквитания находится между орбитами Марса и Юпитера.
|
25 | Брусок движется по горизонтальной плоскости прямолинейно с постоянным ускорением 1 м/с2 под действием постоянной силы F, направленной вниз под углом 30° к горизонту (см. рисунок). Какова масса бруска, если коэффициент трения бруска о плоскость равен 0,2, a F = 2,7 Н? Ответ округлите до десятых.
|
26 | По параллельным проводникам bc и ad, находящимся в магнитном поле с индукцией B = 0,4 Тл, скользит проводящий стержень MN, который находится в контакте с проводниками (см. рисунок). Расстояние между проводниками l = 20 см. Слева проводники замкнуты резистором с сопротивлением R = 2 Ом. Сопротивление стержня и проводников пренебрежимо мало. При движении стержня через резистор R протекает ток I = 40 мА. С какой скоростью движется проводник? Считать, что вектор B перпендикулярен плоскости рисунка.
|
27 | В двух идеальных колебательных контурах с одинаковой индуктивностью происходят свободные электромагнитные колебания, причём период колебаний в первом контуре
|
28 | Постоянное количество одноатомного идеального газа участвует в процессе, график которого изображён на рисунке в координатах р-n, где р — давление газа, n — его концентрация. Определите, получает газ теплоту или отдаёт в процессах 1-2 и 2-3. Ответ поясните, опираясь на законы молекулярной физики и термодинамики.
|
29 | От груза, неподвижно висящего на невесомой пружине жёсткостью k = 400 Н/м, отделился с начальной скоростью, равной нулю, его фрагмент. После этого при возникших колебаниях оставшаяся часть груза поднималась на максимальную высоту h = 3 см относительно первоначального положения. Какова масса m отделившегося от груза фрагмента?
|
30 | Давление влажного воздуха в сосуде под поршнем при температуре t = 100 °С равно
|
31 | На рисунке показана схема устройства для предварительного отбора заряженных частиц из источника частиц (и.ч.) для последующего детального исследования. Устройство представляет собой конденсатор, пластины которого изогнуты дугой радиусом R. Предположим, что в промежутке между обкладками конденсатора, не касаясь их, пролетают молекулы интересующего нас вещества, потерявшие один электрон. Во сколько раз нужно изменить напряжение на обкладках конденсатора, чтобы сквозь него могли пролетать такие же ионы, но имеющие в 2 раза большую кинетическую энергию? Считать, что расстояние между обкладками конденсатора мало, напряжённость электрического поля в конденсаторе всюду одинакова по модулю, а вне конденсатора электрическое поле отсутствует. Влиянием силы тяжести пренебречь.
|
32 | Главная оптическая ось тонкой собирающей линзы с фокусным расстоянием F = 20 см и точечный источник света S находятся в плоскости рисунка. Точка S находится на расстоянии b = 70 см от плоскости линзы и на расстоянии Н = 5 см от её главной оптической оси. В левой фокальной плоскости линзы находится тонкий непрозрачный экран с малым отверстием А, находящимся в плоскости рисунка на расстоянии h = 4 см от главной оптической оси линзы. На каком расстоянии x от плоскости линзы луч SA от точечного источника, пройдя через отверстие в экране и линзу, пересечет её главную оптическую ось? Дифракцией света пренебречь. Постройте рисунок, показывающий ход луча через линзу.
|
| Авторизация через | ![]() |
Сборник предназначен для самостоятельной подготовки к выпускным экзаменам. Благодаря тестовым заданиям из открытого банка заданий, вы можете проверить свои знания и определить, насколько подготовлены к соответствующим экзаменам. Также этот сборник будет полезен учителям, которые могут использовать его для контроля результатов освоения школьниками образовательных программ основного общего образования и интенсивной подготовки учащихся.
При выполнении заданий на экзаменах можно пользоваться черновиком. Записи в черновике не учитываются при оценивании работы. Баллы, полученные Вами за выполненные задания, суммируются. Постарайтесь выполнить как можно больше заданий и набрать наибольшее количество баллов.
Желаем успехов при сдаче экзаменов!
| < Предыдущий | Следующий > |