| < Предыдущий | Следующий > |
1 | На рисунке приведён график зависимости проекции скорости тела vx от времени t.
Определите проекцию ускорения этого тела ax в момент времени 8 с.
|
2 | Два маленьких шарика с одинаковыми массами m, расстояние между которыми равно r, притягиваются друг к другу с гравитационными силами, равными по модулю 0,9 пН. Каков модуль сил гравитационного притяжения двух других шариков, если масса одного 4m, масса другого m/2, а расстояние между их центрами r/3?
|
3 | Отношение скорости автобуса к скорости легкового автомобиля v1/v2 = 1/3. Масса автобуса m1 = 7200 кг. Какова масса легкового автомобиля, если отношение импульса автобуса к импульсу легкового автомобиля равно 1,6?
|
4 | Деревянный куб массой 0,3 кг привязан ниткой ко дну сосуда с водой (см. рисунок). На куб действует сила Архимеда, равная 12 Н. Определите силу натяжения нити.
|
5 | В инерциальной системе отсчёта вдоль оси Ох движется тело массой 20 кг. На рисунке приведён график зависимости проекции скорости vx этого тела от времени t. Из приведённого ниже списка выберите два правильных утверждения, описывающих движение тела.
1) Модуль ускорения тела в промежутке времени от 60 до 80 с в 3 раза больше модуля ускорения тела в промежутке времени от 80 до 100 с. 2) В промежутке времени от 80 до 100 с тело переместилось на 30 м. 3) В момент времени 90 с модуль равнодействующей сил, действующих на тело, равна 1,5 Н. 4) В промежутке времени от 60 до 80 с импульс тела увеличился на 40 кг∙м/с. 5) Кинетическая энергия тела в промежутке времени от 10 до 20 с увеличилась в 4 раза.
|
6 | Железный сплошной грузик совершает малые свободные колебания на лёгкой нерастяжимой нити. Затем этот грузик заменили на сплошной алюминиевый грузик тех же размеров. Амплитуда колебаний в обоих случаях одинакова. Как при этом изменятся период колебаний и максимальная кинетическая энергия грузика? Для каждой величины определите соответствующий характер изменения: 1) увеличится 2) уменьшится 3) не изменится
|
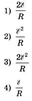
7 | После толчка диск массой m начал скользить с начальной скоростью v0 вверх по плоскости, установленной под углом α к горизонту (см. рисунок). Переместившись вдоль оси Ох на расстояние s, диск соскользнул в исходное положение. Коэффициент трения диска о плоскость равен μ. Формулы А и Б позволяют рассчитать значения физических величин, характеризующих движение диска.
Установите соответствие между формулами и физическими величинами, значение которых можно рассчитать по этим формулам.
|
8 | Во сколько раз уменьшится абсолютная температура неона, если среднеквадратичная скорость теплового движения его молекул уменьшится в 4 раза?
|
9 | На TV-диаграмме показан процесс изменения состояния идеального одноатомного газа. В ходе этого процесса газ совершил работу, равную 80 кДж. Какое количество теплоты получил газ в этом процессе, если его масса не меняется?
|
10 | Парциальное давление водяного пара в сосуде в 1,6 раза меньше давления насыщенного водяного пара при той же температуре. Определите относительную влажность воздуха в сосуде.
|
11 | Сосуд разделён на две равные по объёму части пористой неподвижной перегородкой. В левой части сосуда содержится 2 моль гелия, в правой — 40 г аргона. Перегородка может пропускать молекулы гелия и является непроницаемой для молекул аргона. Температура газов одинакова и остаётся постоянной. Выберите два верных утверждения, описывающих состояние газов после установления равновесия в системе. 1) Внутренняя энергия гелия в сосуде больше, чем внутренняя энергия аргона. 2) Концентрация гелия и аргона в правой части сосуда одинакова. 3) В правой части сосуда общее число молекул газов в 2 раза меньше, чем в левой части. 4) Внутренняя энергия гелия в сосуде в конечном состоянии больше, чем в начальном. 5) Давление в обеих частях сосуда одинаково.
|
12 | Температуру холодильника тепловой машины, работающей по циклу Карно, понизили, оставив температуру нагревателя прежней. Количество теплоты, полученное газом от нагревателя за цикл, не изменилось. Как изменились при этом КПД тепловой машины и работа газа за цикл? Для каждой величины определите соответствующий характер изменения: 1) увеличилась 2) уменьшилась 3) не изменилась
|
13 | Два неподвижных точечных электрических заряда +q и -q (q> 0) расположены, как показано на рисунке. Как направлен относительно рисунка (вправо, влево, вверх, вниз, к наблюдателю, от наблюдателя) вектор напряжённости суммарного электрического поля этих зарядов в точке А? Ответ запишите словом (словами).
|
14 | Плавкий предохранитель розетки бортовой электросети автомобиля с напряжением 12 В снабжён надписью: «15 А». Какова максимальная суммарная мощность электрических приборов, которые можно одновременно включить в эту розетку, чтобы предохранитель не расплавился?
|
15 | Угол между зеркалом и отражённым от него лучом равен 20° (см. рисунок). Определите угол падения.
|
16 | Два незаряженных пластмассовых кубика 1 и 2 сблизили вплотную и поместили в электрическое поле, напряжённость которого направлена горизонтально вправо, как показано в левой части рисунка. То же самое проделали с двумя незаряженными стальными кубиками 3 и 4. Затем кубики быстро раздвинули и уже потом убрали электрическое поле (правая часть рисунка).
Выберите два верных утверждения, описывающих данный процесс. 1) После разделения кубик 3 имеет отрицательный заряд. 2) При помещении пластмассовых кубиков в электрическое поле наблюдается явление поляризации. 3) В электрическом поле кубики 1 и 2 приобретают суммарный отрицательный заряд. 4) В электрическом поле кубики 3 и 4 приобретают суммарный отрицательный заряд. 5) После разделения кубик 2 имеет положительный заряд.
|
17 | В действующей модели радиопередатчика изменили электроёмкость конденсатора, входящего в состав его колебательного контура, уменьшив расстояние между его пластинами. Как при этом изменятся частота колебаний тока в контуре и длина волны излучения? Для каждой величины определите соответствующий характер изменения: 1) увеличится 2) уменьшится 3) не изменится
|
18 | На рисунке показана цепь постоянного тока. Внутренним сопротивлением источника тока можно пренебречь. Установите соответствие между физическими величинами и формулами, по которым их можно рассчитать (E — ЭДС источника тока; R — сопротивление резистора).
К каждой позиции первого столбца подберите соответствующую позицию из второго столбца и запишите в таблицу выбранные цифры под соответствующими буквами.
|
19 | Ядро тория Каковы заряд образовавшегося ядра Z (в единицах элементарного заряда) и его массовое число А?
|
20 | Длина волны жёлтого света примерно в 1,5 раза больше длины волны фиолетового света. Во сколько раз энергия фотона волны жёлтого света меньше энергии фотона волны фиолетового света?
|
21 | На цинковую пластинку падает пучок монохроматического света. При этом наблюдается явление фотоэффекта. На графиках в первом столбце представлены зависимости энергии от длины волны λ и частоты света v. Установите соответствие между графиком и той энергией, для которой он может определять представленную зависимость. К каждой позиции первого столбца подберите соответствующую позицию из второго столбца и запишите в таблицу выбранные цифры под соответствующими буквами.
|
22 | Для измерения веса тела школьник использовал динамометр. Чему равен вес тела по результатам этих измерений (см. рисунок), если погрешность прямого измерения силы равна цене деления динамометра? Динамометр проградуирован в ньютонах.
|
23 | Необходимо собрать экспериментальную установку, с помощью которой можно определить коэффициент трения скольжения меди по пластмассе. Для этого школьник взял медный брусок с крючком. Какие два предмета из приведённого ниже перечня оборудования необходимо дополнительно использовать для проведения этого эксперимента? 1) пластмассовая рейка 2) мензурка 3) динамометр 4) секундомер 5) деревянная рейка
|
24 | Рассмотрите таблицу, содержащую характеристики планет Солнечной системы.
Выберите два утверждения, которые соответствуют характеристикам планет. 1) Ускорение свободного падения на Сатурне составляет 25,0 м/с2. 2) На Уране смена времён года происходит 8 раз в течение его оборота вокруг Солнца. 3) Масса Юпитера почти в 2 раза больше массы Сатурна. 4) Ускорение свободного падения на Меркурии составляет около 3,6 м/с2. 5) На Марсе наблюдается смена времён года.
|
25 | Человек на санках, общей массой 100 кг, спустился с ледяной горы высотой 6 м. Сила трения при его движении по горизонтальной поверхности равна 160 Н. Какое расстояние проехал он по горизонтали до остановки? Считать, что по склону горы санки скользили без трения.
|
26 | При сжатии 8 г гелия при постоянном давлении внешние силы совершили работу 1600 Дж. Какое количество теплоты было передано при этом газом окружающим телам?
|
27 | В тонкой рассеивающей линзе получено уменьшенное в 4 раза изображение предмета. Определите модуль фокусного расстояния линзы, если изображение предмета находится на расстоянии f = 9 см от линзы.
|
28 | В камере, из которой откачан воздух, создали электрическое поле напряжённостью E и магнитное поле с индукцией B. Поля однородные,
|
29 | Свинцовый шар массой 4 кг подвешен на нити и полностью погружён в воду (см. рисунок). Нить образует с вертикалью угол α = 30°. Определите силу, с которой нить действует на шар. Плотность свинца ρ = 11 300 кг/м3. Трением шара о стенку пренебречь. Сделайте схематический рисунок с указанием сил, действующих на шар.
|
30 | В комнате размерами 4x5x3 м, в которой воздух имеет температуру 20 °С и относительную влажность 30 %, включили увлажнитель воздуха производительностью 0,2 л/ч. Сколько времени необходимо работать увлажнителю, чтобы относительная влажность воздуха в комнате повысилась до 65%? Давление насыщенного водяного пара при температуре 20 °С равно 2,33 кПа. Комнату считать герметичным сосудом.
|
31 | По горизонтально расположенным проводящим шероховатым рельсам с пренебрежимо малым сопротивлением могут скользить два одинаковых стержня массой m = 50 г и сопротивлением R = 0,3 Ом каждый. Расстояние между рельсами l = 15 см, а коэффициент трения между стержнями и рельсами μ = 0,15. Рельсы со стержнями находятся в однородном вертикальном магнитном поле с индукцией В = 1 Тл (см. рисунок). Под действием горизонтальной силы, действующей на первый стержень вдоль рельс, оба стержня движутся поступательно равномерно с разными скоростями. Какова скорость движения первого стержня относительно второго? Самоиндукцией контура пренебречь.
|
32 | На плоскую серебряную пластинку (Авых = 4,7 эВ) падает ультрафиолетовое излучение с длиной волны 0,2 мкм. На какое максимальное расстояние от поверхности пластинки может удалиться фотоэлектрон, если задерживающее однородное электрическое поле, перпендикулярное пластинке, имеет напряжённость 1 В/см?
|
| Авторизация через | ![]() |
Сборник предназначен для самостоятельной подготовки к выпускным экзаменам. Благодаря тестовым заданиям из открытого банка заданий, вы можете проверить свои знания и определить, насколько подготовлены к соответствующим экзаменам. Также этот сборник будет полезен учителям, которые могут использовать его для контроля результатов освоения школьниками образовательных программ основного общего образования и интенсивной подготовки учащихся.
При выполнении заданий на экзаменах можно пользоваться черновиком. Записи в черновике не учитываются при оценивании работы. Баллы, полученные Вами за выполненные задания, суммируются. Постарайтесь выполнить как можно больше заданий и набрать наибольшее количество баллов.
Желаем успехов при сдаче экзаменов!
| < Предыдущий | Следующий > |