ЕГЭ и ОГЭ
Главная

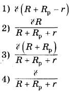
Решение 2953. Исследуется электрическая цепь, собранная по схеме, представленной на рисунке. Определите формулы, которые можно использовать для расчётов показаний амперметра и вольтметра. Измерительные приборы считать

Задание 18. Исследуется электрическая цепь, собранная по схеме, представленной на рисунке.

Определите формулы, которые можно использовать для расчётов показаний амперметра и вольтметра. Измерительные приборы считать идеальными.

ПОКАЗАНИЯ ПРИБОРОВ

А) показания амперметра

Б) показания вольтметра

ФОРМУЛЫ

Решение.

А) Амперметр показывает ток в цепи, который согласно закону Ома для полной цепи равен:

Б) Вольтметр измеряет падение напряжение на сопротивлении R. Согласно закону Ома это напряжение равно U=IR. В результате получаем показания вольтметра:

Ответ: 42


Другие задания:

Темы раздела

Для наших пользователей доступны следующие материалы: