| < Предыдущий | Следующий > |
1 | На рисунке приведён график зависимости проекции скорости vx от времени t для тела, движущегося прямолинейно по оси x. Определите проекцию ускорения тела ax.
|
2 | Сила притяжения Земли к Солнцу в 21,5 раза больше, чем сила притяжения Марса к Солнцу. Найдите отношение расстояния между Марсом и Солнцем к расстоянию между Землёй и Солнцем, если масса Земли в 9,3 раз больше массы Марса. Ответ округлите до сотых.
|
3 | Девочка бросила мяч массой 0,5 кг вертикально вверх с высоты 0,8 м над поверхностью Земли. Мяч поднялся на высоту 3 м от поверхности Земли. Каково изменение потенциальной энергии мяча?
|
4 | Тело массой 0,6 кг подвешено к левому плечу невесомого рычага (см. рисунок). Груз какой массы надо подвесить к первому делению правого плеча рычага для достижения равновесия?
|
5 | На рисунке приведены графики зависимости координаты x от времени t для двух тел: А и В, движущихся по прямой, вдоль которой направлена ось Ох. Выберите два верных утверждения о характере движения тел.
1) Тело А движется равноускоренно. 2) В моменты времени t1 = 2 с и t2 = 8 с тело В покоится. 3) Проекция скорости vx тела А отрицательна. 4) Проекция начальной скорости vx тела В положительна. 5) Тело В меняет направление движения в момент времени t = 5 с.
|
6 | В результате перехода искусственного спутника Земли с одной круговой орбиты на другую его центростремительное ускорение уменьшается. Как изменяются в результате этого перехода радиус орбиты спутника и его скорость движения по орбите вокруг Земли? Для каждой величины определите соответствующий характер изменения: 1) увеличивается 2) уменьшается 3) не изменяется
|
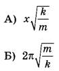
7 | Верхний конец пружины идеального пружинного маятника неподвижно закреплён. Масса груза маятника равна m, жёсткость пружины равна k. Груз оттянули вниз на расстояние x от положения равновесия и отпустили с начальной скоростью, равной нулю. Формулы А и Б позволяют рассчитать значения физических величин, характеризующих возникшие свободные колебания маятника.
Установите соответствие между формулами и физическими величинами, значение которых можно рассчитать по этим формулам. К каждой позиции первого столбца подберите соответствующую позицию из второго столбца и запишите в таблицу выбранные цифры под соответствующими буквами.
|
8 | При температуре T0 и давлении p0 1 моль разрежённого водорода занимает объём 2V0. Сколько моль разрежённого кислорода при температуре 2T0 и давлении 2p0 занимают объём 4V0?
|
9 | Рабочее тело тепловой машины с КПД 10 % совершает за один цикл работу 50 кДж. Какое количество теплоты получает рабочее тело от нагревателя за цикл?
|
10 | Относительная влажность воздуха в сосуде, закрытом поршнем, равна 30 %. Какой станет относительная влажность воздуха в сосуде, если его объём при неизменной температуре уменьшить в 2 раза?
|
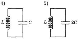
11 | Свинцовая заготовка в твёрдом агрегатном состоянии медленно нагревается в плавильной печи так, что подводимая к ней тепловая мощность постоянна. В таблице приведены результаты измерений температуры свинца с течением времени.
Выберите из предложенного перечня два утверждения, которые соответствуют результатам проведённого экспериментального исследования. 1) Теплоёмкость свинца в твёрдом и жидком состояниях одинакова. 2) Процесс плавления образца продолжался менее 20 мин. 3) Через 18 мин. после начала измерений свинец частично расплавился. 4) Через 30 мин. после начала измерений свинец не расплавился. 5) Температура плавления свинца в данных условиях равна 329 °С.
|
12 | В цилиндре под поршнем находится идеальный одноатомный газ. Формулы А и Б позволяют рассчитать значения физических величин, характеризующих состояние газа. Обозначения: p — давление; T — абсолютная температура; N — число атомов газа; k — постоянная Больцмана, V — объём газа. Установите соответствие между формулами и физическими величинами, значение которых можно рассчитать по этим формулам.
|
13 | Квадратная проволочная рамка расположена в однородном магнитном поле так, как показано на рисунке. Направление тока в рамке показано стрелками. Как направлена относительно рисунка (вправо, влево, вверх, вниз, к наблюдателю, от наблюдателя) сила, действующая на сторону ab рамки со стороны внешнего магнитного поля B? Ответ запишите словом (словами).
|
14 | Пять одинаковых резисторов с сопротивлением 15 Ом каждый соединены в электрическую цепь, через которую течёт ток I = 4 А (см. рисунок). Какое напряжение показывает идеальный вольтметр?
|
15 | При равномерном увеличении силы тока в катушке на 8 А за 0,04 с в ней возникает ЭДС самоиндукции, равная 50 В. Чему равна индуктивность катушки?
|
16 | Ученик, изучая законы геометрической оптики, провёл опыт по преломлению света (см. рисунок). Для этого он направил узкий пучок света на стеклянную пластину. Пользуясь приведённой таблицей, выберите из приведённого ниже списка два правильных утверждения, описывающих наблюдаемое явление.
1) Показатель преломления стекла примерно равен 1,47. 2) Наблюдается полное внутреннее отражение. 3) Угол преломления равен 50°. 4) Угол падения равен 70°. 5) Угол отражения равен 20°.
|
17 | α-частица, движущаяся в вакууме со скоростью v << с, пролетает между пластинами заряжённого конденсатора так, как показано на рисунке. Пролетев конденсатор, частица отклоняется от первоначального направления на угол α. Как изменится кинетическая энергия вылетевшей частицы и угол α, если увеличить напряжение между пластинами конденсатора?
Для каждой величины определите соответствующий характер изменения: 1) увеличится 2) уменьшится 3) не изменится
|
18 | Конденсатор колебательного контура полностью заряжён от источника постоянного напряжения (см. рисунок). В момент t = 0 переключатель К переводят из положения 1 в положение 2. Графики А и Б представляют изменения физических величин, характеризующих колебания в контуре после этого. Т — период электромагнитных колебаний.
Установите соответствие между графиками и физическими величинами, зависимости которых от времени эти графики могут представлять.
|
19 | Сколько протонов и сколько нейтронов содержится в ядре кюрия
|
20 | Частота зелёного света примерно в 1,25 раза больше частоты красного света. Во сколько раз энергия фотона красного света меньше энергии фотона зелёного света?
|
21 | На установке, представленной на фотографиях (рис. а — общий вид; рис. б — фотоэлемент), исследовали зависимость кинетической энергии фотоэлектронов от частоты падающего света. Для этого в прорезь осветителя помещали различные светофильтры и измеряли запирающее напряжение. В первой серии опытов использовался светофильтр, пропускающий только красный свет, а во второй — пропускающий только зелёный свет.
Как изменяются длина световой волны и максимальная скорость фотоэлектронов при переходе от первой серии опытов ко второй? Для каждой величины определите соответствующий характер изменения. 1) увеличивается 2) уменьшается 3) не изменяется
|
22 | Определите показания вольтметра (см. рисунок), если погрешность прямого измерения напряжения равна цене деления вольтметра.
|
23 | Необходимо обнаружить зависимость частоты свободных электромагнитных колебаний в колебательном контуре от индуктивности катушки. Какие два колебательных контура надо выбрать для проведения такого опыта?
Запишите в таблицу номера колебательных контуров.
|
24 | Рассмотрите таблицу, содержащую сведения о ярких звёздах.
Выберите два утверждения, которые соответствуют характеристикам звёзд. 1) Звезда Сириус В относится к белым карликам. 2) Звёзды Ригель и е Возничего имеют температуру, соответствующую звёздам спектрального класса М. 3) Звезда е Возничего относится к звёздам главной последовательности на диаграмме Герцшпрунга-Рассела. 4) Звезда Альдебаран относится к звёздам главной последовательности на диаграмме Герцшпрунга-Рассела. 5) Наше Солнце имеет среднюю плотность, сравнимую со средней плотностью белых карликов.
|
25 | Тело массой 2 кг, брошенное с некоторой высоты вертикально вверх, упало на землю со скоростью 6 м/с. Потенциальная энергия тела относительно поверхности земли в момент броска была равна 20 Дж. С какой начальной скоростью бросили тело? Сопротивлением воздуха пренебречь.
|
26 | Электрическая цепь состоит из аккумулятора с ЭДС 12 В и внутренним сопротивлением 1 Ом, лампочки, ключа и соединительных проводов. Каково напряжение на лампочке, если сила тока в цепи 2 А? Сопротивлением проводов пренебречь.
|
27 | Действительное изображение предмета, полученное с помощью тонкой собирающей линзы, находится на расстоянии 12 см от линзы. Оптическая сила линзы 15 дптр. Определите расстояние от линзы до предмета.
|
28 | На графике представлена зависимость давления неизменной массы идеального газа от его плотности. Опишите, как изменяются в зависимости от плотности температура и объём газа в процессах 1-2 и 2-3.
|
29 | На вертикальной оси укреплена гладкая горизонтальная штанга, по которой могут перемещаться два груза массами m1 = 100 г и m2 = 400 г, связанные нерастяжимой невесомой нитью длиной l. Нить закрепили на оси так, что грузы располагаются по разные стороны от оси и натяжение нити с обеих сторон от оси при вращении штанги одинаково (см. рисунок). При вращении штанги с частотой 900 об/мин модуль силы натяжения нити, соединяющей грузы, T = 150 Н. Определите длину нити l.
|
30 | В запаянной с одного конца длинной горизонтальной стеклянной трубке постоянного сечения (см. рисунок) находится столбик воздуха длиной l1 = 30 см, запертый столбиком ртути. Если трубку поставить вертикально отверстием вверх, то длина воздушного столбика под ртутью будет равна l2 = 25 см. Какова длина ртутного столбика? Атмосферное давление 750 мм рт. ст. Температуру воздуха в трубке считать постоянной.
|
31 | На горизонтальном столе лежат два параллельных друг другу рельса: a и b, замкнутых двумя одинаковыми металлическими проводниками: АС и ED (см. рисунок). Вся система проводников находится в однородном магнитном поле, направленном вертикально вниз. Модуль индукции магнитного поля равен В, расстояние между рельсами l, скорости проводников v1 и v2. Чему равно сопротивление каждого из проводников, если сила тока в цепи равна I? Сопротивлением рельсов пренебречь
|
32 | На плоскую металлическую пластинку падает электромагнитное излучение длиной волны 150 нм. Фотоэлектроны удаляются от поверхности пластинки на расстояние не более 4 см в задерживающем однородном электрическом поле, перпендикулярном пластинке. Напряжённость поля 120 В/м. Определите работу выхода электрона с поверхности этого металла.
|
| Авторизация через | ![]() |
Сборник предназначен для самостоятельной подготовки к выпускным экзаменам. Благодаря тестовым заданиям из открытого банка заданий, вы можете проверить свои знания и определить, насколько подготовлены к соответствующим экзаменам. Также этот сборник будет полезен учителям, которые могут использовать его для контроля результатов освоения школьниками образовательных программ основного общего образования и интенсивной подготовки учащихся.
При выполнении заданий на экзаменах можно пользоваться черновиком. Записи в черновике не учитываются при оценивании работы. Баллы, полученные Вами за выполненные задания, суммируются. Постарайтесь выполнить как можно больше заданий и набрать наибольшее количество баллов.
Желаем успехов при сдаче экзаменов!
| < Предыдущий | Следующий > |