| < Предыдущий | Следующий > |
1 | На рисунке показан график зависимости проекции vx скорости тела от времени t. Какова проекция ax ускорения этого тела в интервале времени от 4 до 5 с?
|
2 | На рисунке показаны силы (в заданном масштабе), действующие на материальную точку. Сторона клетки соответствует 1 Н. Определите модуль равнодействующей приложенных к телу сил.
|
3 | Отношение массы автобуса к массе легкового автомобиля m1/m2 = 5,6. Каково отношение их скоростей v1/v2, если отношение импульса автобуса к импульсу легкового автомобиля p1/p2 = 2,8?
|
4 | Период гармонических колебаний массивного груза на лёгкой нерастяжимой нити равен 1,6 с. В некоторый момент времени кинетическая энергия груза достигает минимума. Через какое минимальное время потенциальная энергия груза достигнет минимума?
|
5 | В лаборатории исследовали прямолинейное движение тела массой m = 300 г из состояния покоя. В таблице приведена экспериментально полученная зависимость пути, пройденного телом, от времени.
Какие два вывода соответствуют результатам эксперимента? 1) Скорость тела в момент времени 4 с равнялась 10 м/с. 2) Кинетическая энергия тела в момент времени 3 с равна 12 Дж. 3) В течение всего времени наблюдения тело двигалось равноускоренно. 4) За первые 4 с суммарная работа сил, действующих на тело, равна 9,6 Дж. 5) Равнодействующая сил, действующих на тело, всё время возрастала.
|
6 | На поверхности воды плавает прямоугольный брусок из древесины плотностью 600 кг/м3. Брусок заменили на другой брусок того же объёма и с той же площадью основания, но из древесины плотностью 400 кг/м3. Как при этом изменились глубина погружения бруска и действующая на него сила Архимеда? Для каждой величины определите соответствующий характер изменения: 1) увеличилась 2) уменьшилась 3) не изменилась
|
7 | Материальная точка движется по оси х. Её координата меняется по закону: Установите соответствие между физическими величинами и формулами, по которым их можно рассчитать.
|
8 | Концентрацию молекул идеального одноатомного газа уменьшили в 5 раз. Одновременно в 2 раза увеличили абсолютную температуру газа. Во сколько раз в результате этого снизилось давление газа в сосуде?
|
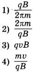
9 | На рисунке показан циклический процесс изменения состояния 1 моль одноатомного идеального газа. На каком участке цикла изменение внутренней энергии газа равно полученному газом количеству теплоты?
|
10 | На сколько градусов нагреются 200 г свинца, если ему сообщить количество теплоты, равное 130 Дж?
|
11 | На pV-диаграмме показаны два процесса, проведённые с одним и тем же количеством газообразного неона.
Из приведённого ниже списка выберите два правильных утверждения, характеризующих процессы на графике. 1) В процессе 2 абсолютная температура неона изобарно увеличилась в 2 раза. 2) В процессе 1 плотность неона увеличилась в 5 раз. 3) В процессе 1 неон изобарно увеличил свой объём в 5 раз. 4) В процессе 2 концентрация молекул неона увеличилась в 2 раза. 5) Работа, совершённая неоном в процессе 1, больше, чем в процессе 2.
|
12 | С постоянным количеством газа провели процесс a→b→c→d→e→f, в течение которого вычисляли внутреннюю энергию U газа и измеряли работу A, совершённую газом от момента начала процесса. AU-диаграмма процесса приведена на рисунке.
Установите соответствие между названием процесса и участком на диаграмме, на котором он представлен.
|
13 | Куда направлена относительно рисунка (вправо, влево, вверх, вниз, к наблюдателю, от наблюдателя) кулоновская сила F, действующая на положительный точечный заряд +q, помещённый в центр квадрата, в вершинах которого находятся заряды: +q, +q, -q, -q (см. рисунок)? Ответ запишите словом (словами).
|
14 | Пять одинаковых резисторов с сопротивлением r = 1 Ом соединены в электрическую цепь, схема которой представлена на рисунке. По участку АВ идёт ток I = 4 А. Какое напряжение показывает идеальный вольтметр?
|
15 | На рисунке приведён график зависимости силы тока I от времени t в электрической цепи, содержащей катушку, индуктивность которой 2 мГн. Определите модуль ЭДС самоиндукции в катушке в интервале времени от 5 до 10 с.
|
16 | В идеальном колебательном контуре, состоящем из катушки индуктивности и конденсатора, происходят свободные незатухающие электромагнитные колебания. Из приведённого ниже списка выберите две величины, которые остаются постоянными при этих колебаниях. 1) период колебаний силы тока в контуре 2) заряд конденсатора 3) фаза колебаний напряжения на конденсаторе 4) амплитуда колебаний силы тока в катушке энергия магнитного поля катушки 5) энергия магнитного поля катушки
|
17 | В прозрачном сосуде с водой находится дифракционная решётка, которая освещается параллельным пучком монохроматического света, падающим на решётку перпендикулярно её поверхности через боковую стенку сосуда. Как изменятся длина световой волны, падающей на решётку, и угол между падающим лучом и направлением на второй дифракционный максимум, если удалить воду из сосуда? Для каждой величины определите соответствующий характер изменения: 1) увеличится 2) уменьшится 3) не изменится
|
18 | Заряженная частица массой m, несущая положительный заряд q, движется перпендикулярно линиям индукции однородного магнитного поля B по окружности со скоростью v. Действием силы тяжести пренебречь. Установите соответствие между физическими величинами и формулами, по которым их можно рассчитать.
|
19 | Ядро бериллия может захватить гамма-квант, в результате чего происходит ядерная реакция
|
20 | В свинцовую капсулу поместили радиоактивный актиний
|
21 | Монохроматический свет с энергией фотонов Еф падает на поверхность металла, вызывая фотоэффект. При этом напряжение, при котором фототок прекращается, равно Uзап. Как изменятся длина волны λ падающего света и модуль запирающего напряжения Uзап, если частота падающих фотонов Еф уменьшится? Для каждой величины определите соответствующий характер изменения: 1) увеличится 2) уменьшится 3) не изменится
|
22 | Погрешность прямого измерения силы динамометром, на котором висит груз, равна цене деления (см. рисунок). Определите вес груза.
|
23 | Необходимо экспериментально изучить зависимость сопротивления проводника от длины проводника. Какие два проводника следует использовать для проведения такого исследования?
|
24 | На рисунке представлена диаграмма Герцшпрунга — Рессела.
Выберите два утверждения о звёздах, которые соответствуют диаграмме. 1) Звезда Антарес имеет температуру поверхности 3300 К и относится к звёздам спектрального класса А. 2) Плотность белых карликов существенно меньше средней плотности гигантов. 3) «Жизненный цикл» звезды спектрального класса К главной последовательности более длительный, чем звезды спектрального класса В главной последовательности. 4) Температура поверхности звёзд спектрального класса G выше температуры поверхности звёзд спектрального класса А. 5) Радиус звезды Бетельгейзе почти в 1000 раз превышает радиус Солнца, а значит, она относится к сверхгигантам.
|
25 | Груз массой M = 75 кг медленно поднимают с помощью рычага, прикладывая силу F = 350 Н (см. рисунок). Рычаг состоит из шарнира без трения и однородного стержня массой m = 20 кг и длиной L. Расстояние от оси шарнира до точки подвеса груза равно b = 1 м. Определите длину стержня.
|
26 | На рисунке показан график зависимости давления газа в запаянном сосуде от его температуры. Объём сосуда равен 0,25 м3. Какое приблизительно количество газообразного вещества содержится в этом сосуде? Ответ округлите до целых.
|
27 | Фотокатод облучают ультрафиолетовым излучением частотой
|
28 | На рисунке 1 приведена зависимость внутренней энергии U1 моль идеального одноатомного газа от его давления p в процессе 1-2-3. Постройте график этого процесса на рисунке 2 в переменных p-V. Точка, соответствующая состоянию 1, уже отмечена на этом рисунке. Построение объясните, опираясь на законы молекулярной физики.
|
29 | По гладкой наклонной плоскости, составляющей угол α = 30° с горизонтом, скользит из состояния покоя брусок массой M = 250 г. В тот момент, когда брусок прошёл по наклонной плоскости расстояние x = 3,6 м, в него попала и застряла в нём летящая навстречу ему вдоль наклонной плоскости пуля массой m = 5 г. После попадания пули брусок поднялся вверх вдоль наклонной плоскости на расстояние S = 2,5 м от места удара. Найдите скорость пули перед попаданием в брусок. Трение бруска о плоскость не учитывать.
|
30 | Одно и то же постоянное количество одноатомного идеального газа расширяется из одного и того же начального состояния p1, V1 до одного и того же конечного объёма V2 первый раз по изобаре 1-2, а второй — по адиабате 1-3 (см. рисунок). Отношение количества теплоты Q12, полученного газом от нагревателя в ходе процесса 1-2, к модулю изменения внутренней энергии газа
|
31 | На рисунке показана схема электрической цепи, состоящей из источника тока с ЭДС E = 12 В и внутренним сопротивлением r = 1 Ом, двух резисторов с сопротивлениями R1 = 1 Ом и R2 = 4 Ом, конденсатора электроёмкостью C = 3 мкФ и катушки с индуктивностью L = 32 мкГн. Какое количество теплоты выделится на резисторе R2 после размыкания ключа К? Сопротивлением провода катушки пренебречь.
|
32 | Период свободных электромагнитных колебаний в идеальном колебательном контуре, состоящем из конденсатора и катушки индуктивности, равен 6,3 мкс. Амплитуда колебаний силы тока
|
| Авторизация через | ![]() |
Сборник предназначен для самостоятельной подготовки к выпускным экзаменам. Благодаря тестовым заданиям из открытого банка заданий, вы можете проверить свои знания и определить, насколько подготовлены к соответствующим экзаменам. Также этот сборник будет полезен учителям, которые могут использовать его для контроля результатов освоения школьниками образовательных программ основного общего образования и интенсивной подготовки учащихся.
При выполнении заданий на экзаменах можно пользоваться черновиком. Записи в черновике не учитываются при оценивании работы. Баллы, полученные Вами за выполненные задания, суммируются. Постарайтесь выполнить как можно больше заданий и набрать наибольшее количество баллов.
Желаем успехов при сдаче экзаменов!
| < Предыдущий | Следующий > |