| < Предыдущий | Следующий > |
1 | Найдите значение выражения
|
2 | Найдите значение выражения
|
3 | Товар на распродаже уценили на 20%, при этом он стал стоить 760 рублей. Сколько рублей стоил товар до распродажи?
|
4 | Перевести температуру из шкалы Фаренгейта в шкалу Цельсия позволяет формула
|
5 | Найдите значение выражения
|
6 | Принтер печатает одну страницу за 15 секунд. Какое наибольшее количество страниц можно напечатать на этом принтере за 9 минут?
|
7 | Найдите корень уравнения
|
8 | Перила лестницы дачного дома для надёжности укреплены посередине вертикальным столбом длиной 2,6 м. Найдите наименьшую высоту h1 перил, если наибольшая высота h2 равна 3,1 м. Ответ дайте в метрах.
|
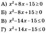
9 | Установите соответствие между величинами и их возможными значениями: к каждому элементу первого столбца подберите соответствующий элемент из второго столбца.
|
10 | Фабрика выпускает сумки. В среднем из 200 сумок, поступивших в продажу, 6 сумок имеют скрытый дефект. Найдите вероятность того, что случайно выбранная сумка окажется с дефектом.
|
11 | На графике показана зависимость крутящего момента автомобильного двигателя от числа оборотов в минуту. На горизонтальной оси отмечено число оборотов в минуту, на вертикальной оси — крутящий момент в Н∙м.
Определите по графику число оборотов двигателя в минуту при крутящем моменте 20 Н∙м.
|
12 | При строительстве дома фирма использует один из типов фундамента: каменный или бетонный. Для каменного фундамента необходимо 9 тонн природного камня и 8 мешков цемента. Для бетонного фундамента необходимо 6 тонн щебня и 60 мешков цемента. Тонна камня стоит 1700 рублей, щебень стоит 770 рублей за тонну, а мешок цемента стоит 240 рублей. Сколько рублей будет стоить материал для фундамента, если выбрать наиболее дешёвый вариант?
|
13 | В бак, имеющий форму правильной четырёхугольной призмы, налито 5 л воды. После полного погружения в воду детали уровень воды в баке увеличился в 2,4 раза. Найдите объём детали. Ответ дайте в кубических сантиметрах, зная, что в одном литре 1000 кубических сантиметров.
|
14 | Установите соответствие между графиками функций и графиками их производных.
|
15 | Катеты прямоугольного треугольника равны 7 и 24. Найдите наибольшую среднюю линию треугольника.
|
16 | Даны два шара с радиусами 8 и 4. Во сколько раз площадь поверхности меньшего шара меньше площади поверхности большего?
|
17 | Каждому из четырёх неравенств в левом столбце соответствует одно из решений в правом столбце. Установите соответствие между неравенствами и их решениями.
|
18 | На соревнованиях сборная Канады завоевала медалей больше, чем сборная Нидерландов, сборная Белоруссии — меньше, чем сборная Нидерландов, а сборная Швейцарии — меньше, чем сборная Канады. Выберите утверждения, которые верны при указанных условиях. 1) Из названных сборных команда Белоруссии заняла второе место по числу медалей. 2) Сборная Белоруссии завоевала меньше медалей, чем сборная Канады. 3) Среди названных сборных есть три, завоевавшие равное количество медалей. 4) Сборная Канады завоевала больше медалей, чем каждая из остальных трёх сборных.
|
19 | Найдите трёхзначное число, кратное 40, все цифры которого различны, а сумма квадратов цифр делится на 4, но не делится на 16. В ответе укажите какое-нибудь одно такое число.
|
20 | Взяли несколько досок и распилили их. Всего сделали 9 поперечных распилов, в итоге получилось 17 кусков. Сколько досок взяли?
|
| Авторизация через | ![]() |
Сборник предназначен для самостоятельной подготовки к выпускным экзаменам. Благодаря тестовым заданиям из открытого банка заданий, вы можете проверить свои знания и определить, насколько подготовлены к соответствующим экзаменам. Также этот сборник будет полезен учителям, которые могут использовать его для контроля результатов освоения школьниками образовательных программ основного общего образования и интенсивной подготовки учащихся.
При выполнении заданий на экзаменах можно пользоваться черновиком. Записи в черновике не учитываются при оценивании работы. Баллы, полученные Вами за выполненные задания, суммируются. Постарайтесь выполнить как можно больше заданий и набрать наибольшее количество баллов.
Желаем успехов при сдаче экзаменов!
| < Предыдущий | Следующий > |