ЕГЭ и ОГЭ
Главная

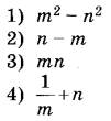
Решение 3352. На координатной прямой отмечены числа m и n и точки А, В, С и D.

Задание 17. На координатной прямой отмечены числа m и n и точки А, В, С и D.

ТОЧКИ

A

B

C

D

ЧИСЛА

Решение.

А) Точка А практически равна -2. Очевидно, что это число  под номером 3.

B) Точка B находится около 0. Больше всего подходит выражение  под номером 4.

C) Точка C почти равна 3 – значение под номером 2.

D) Точка D немного не доходит до 4 – значение под номером 1.

Ответ: 3421


Другие задания:

Темы раздела

Для наших пользователей доступны следующие материалы: